Unité 7 L’entreprise et ses clients
Thèmes et unités thématiques
Comment une entreprise maximisant son profit et produisant un bien ou service différencié interagit avec ses clients.
- Les entreprises produisant des produits différenciés choisissent le prix et la quantité à produire afin de maximiser leurs profits, en tenant compte de la courbe de demande du produit et de la fonction de coût.
- Les avantages en matière de technologies et de coûts générés par la production à grande échelle favorisent les grandes entreprises.
- La réponse des consommateurs à une variation de prix est mesurée par l’élasticité de la demande, qui affecte le prix et la marge bénéficiaire de l’entreprise.
- Les gains à l’échange sont répartis entre les consommateurs et les propriétaires de l’entreprise, mais des prix supérieurs au coût marginal entraînent une défaillance du marché et une perte sèche.
- Les entreprises peuvent augmenter leurs profits en se spécialisant en termes de production et en utilisant la publicité. Celles ayant moins de concurrents peuvent obtenir une marge bénéficiaire plus élevée et des rentes de monopole.
- Les décideurs politiques utilisent les élasticités de la demande pour concevoir les politiques fiscales et réduisent le pouvoir de marché des entreprises grâce aux politiques de concurrence.
Dans Small is Beautiful, publié en 1973, Ernst F. Schumacher prône la production individuelle et collective à petite échelle, dans un système économique conçu pour mettre l’accent sur le bonheur plutôt que sur le profit.1 L’année de publication de ce livre, les entreprises Intel et FedEx n’employaient que quelques milliers de personnes chacune aux États-Unis. Quarante ans plus tard, Intel emploie environ 108 000 personnes et FedEx plus de 300 000. En 1973, Walmart comptait seulement 3 500 employés. En 2016, l’entreprise employait 2,3 millions de personnes.
La plupart des entreprises sont beaucoup plus petites que celles-ci, mais dans tous les pays riches, la plupart des gens travaillent pour de grandes entreprises. Aux États-Unis, 52 % des employés du secteur privé travaillent dans des entreprises d’au moins 500 salariés. Les entreprises se développent, parce que leurs propriétaires peuvent gagner plus lorsque la taille de leurs entreprises augmente et les personnes ayant de l’argent à investir obtiennent des rendements plus élevés en acquérant des actions émises par de grandes entreprises. Les salariés des grandes entreprises sont aussi mieux payés. La Figure 7.1 montre la croissance de quelques entreprises américaines très prospères.
Taille des entreprises aux États-Unis : nombre de salariés (1900–2006)
Figure 7.1 Taille des entreprises aux États-Unis : nombre de salariés (1900–2006).
Luttmer, Erzo G. J. 2011. ‘On the Mechanics of Firm Growth.’ The Review of Economic Studies 78 (3): 1042–68.
Jack Cohen, le fondateur de Tesco, a débuté sa carrière dans le monde des affaires comme négociant sur un marché ambulant de l’East End à Londres. Les négociants se rassemblaient chaque jour au petit matin et, le signal donné, couraient rejoindre leur stand préféré. Cohen maîtrisait comme personne la technique de jeter sa casquette pour se positionner sur le stand le plus en vue. Les premiers magasins Tesco imitaient les stands du marché, sans portes. Dans les années 1950, Cohen a commencé à ouvrir des supermarchés sur le modèle américain et s’est rapidement adapté à ce nouveau type d’exploitation. Tesco est devenu le leader du marché britannique en 1995 et emploie aujourd’hui plus d’un demi-million de personnes en Europe et en Asie.
Aujourd’hui, la stratégie de fixation des prix de Tesco vise tous les segments du marché, en labellisant certains produits de sa propre marque comme étant de qualité supérieure et d’autres, d’un bon rapport qualité-prix. Le programme Money de la BBC a ainsi résumé les trois commandements de Tesco : « être partout », « vendre de tout », et « vendre à tout le monde ».
Quelles stratégies les entreprises peuvent-elles utiliser pour prospérer et croître de la même manière que celles de la Figure 7.1 ? L’histoire du distributeur Tesco, fondé en 1919 par Jack Cohen, apporte un élément de réponse.
« Faites de grandes piles et vendez à bas prix », telle était la devise de Jack Cohen. Il débuta sa carrière en 1919 comme négociant ambulant dans le quartier de l’East End de Londres et ouvrit son premier magasin dix ans plus tard. Aujourd’hui, au Royaume-Uni, sur 9 £ dépensés dans un magasin, 1 £ l’est dans un magasin Tesco. L’entreprise s’est aussi développée à l’international dans les années 1990. En 2014, les profits de Tesco étaient supérieurs à ceux de tout autre distributeur au monde, à l’exception de Walmart. Maintenir des prix bas, comme le recommandait Cohen, est l’une des stratégies possibles pour une entreprise cherchant à maximiser ses profits. Même si le profit réalisé sur chaque article est faible, le prix bas peut attirer un nombre si important de clients que le profit total est finalement élevé.
D’autres entreprises adoptent des stratégies plus ou moins différentes. Apple fixe des prix élevés pour ses iPhone et iPad afin d’augmenter ses profits, plutôt que de baisser les prix pour toucher plus de clients. Par exemple, entre avril 2010 et mars 2012, le profit unitaire réalisé sur la vente des iPhone d’Apple représentait entre 49 et 58 % du prix. À la même période, le profit unitaire de Tesco se situait entre 6 et 6,5 %.
Le succès d’une entreprise ne dépend pas seulement de la détermination du bon prix. Le choix du produit et sa capacité à attirer les clients, à produire à moindres coûts en proposant une qualité supérieure à celle de la concurrence importent tout autant. Elle doit aussi être en mesure de recruter et de garder les salariés qui rendent possibles toutes ces choses.
La Figure 7.2 illustre les décisions clés que doit prendre une entreprise. Dans cette unité, nous nous concentrerons en particulier sur la façon dont une entreprise détermine le prix d’un produit et la quantité à produire. Cela dépend de la demande qui lui est adressée, c’est-à-dire de la disposition des clients potentiels à payer pour le produit, et des coûts de production.
La demande pour un produit dépendra de son prix, et les coûts de production peuvent dépendre du nombre d’unités produites. Mais une entreprise peut activement influencer à la fois la demande et les coûts, par d’autres moyens que les prix et les quantités. Comme nous l’avons vu dans l’Unité 2, l’innovation peut conduire à la mise sur le marché de produits nouveaux et attrayants ou à la baisse des coûts de production. Lorsque l’entreprise parvient à innover, elle peut en tirer des rentes, au moins dans le court terme, jusqu’à ce que ses concurrents la rattrapent. D’autres innovations peuvent alors être nécessaires pour rester en tête. La publicité peut stimuler la demande. Aussi, comme nous l’avons vu dans l’Unité 6, l’entreprise détermine les salaires, qui représentent une part importante de ses coûts. Comme nous le verrons dans les unités à venir, l’entreprise dépense également de l’argent pour influencer la fiscalité et les réglementations environnementales, afin de diminuer ses coûts de production.
Les décisions d’une entreprise
Figure 7.2 Les décisions d’une entreprise.
7.1 Les céréales du petit déjeuner : choix du prix
- courbe de demande
- La courbe qui donne la quantité que les consommateurs achètent à chaque prix possible.
Afin de fixer un prix, une entreprise a besoin d’informations concernant la demande, notamment le nombre de clients potentiels prêts à payer pour son produit. La Figure 7.3 montre la courbe de demande pour les Cheerios pomme-cannelle, des céréales de petit déjeuner prêtes à consommer lancées par l’entreprise General Mills en 1989. En 1996, l’économiste Jerry Hausman utilisa des données sur les ventes hebdomadaires de céréales de petit déjeuner dans les villes américaines pour estimer la manière dont la quantité hebdomadaire de céréales que sont prêts à acheter les consommateurs dans une ville moyenne varierait en fonction du prix par livre (1 kg correspondant à 2,2 livres). Par exemple, vous pouvez voir sur la Figure 7.3 que, si le prix était fixé à 3 $, les consommateurs demanderaient 25 000 livres de Cheerios pomme-cannelle. Pour la plupart des produits, plus le prix est faible, plus les consommateurs sont nombreux à l’acheter.
Comment les économistes apprennent des données Estimation des courbes de demande à partir d’enquêtes
Jerry Hausman a utilisé des données sur les dépenses de céréales pour estimer la courbe de demande des Cheerios pomme-cannelle. Une autre méthode, particulièrement utile pour les entreprises qui lancent des produits complètement nouveaux, est de recourir à une enquête auprès des consommateurs. Supposez que vous deviez évaluer la demande potentielle pour le tourisme spatial. Vous pouvez essayer de poser la question suivante à des consommateurs potentiels :
« Combien seriez-vous prêt(e) à payer pour un vol de dix minutes dans l’espace ? »
Néanmoins, ils pourraient avoir du mal à se décider, voire pire, mentir s’ils pensent que leur réponse influencera le prix final. Une meilleure manière de trouver leur disposition réelle à payer pourrait être de demander :
« Seriez-vous prêt(e) à payer 1 000 $ pour un vol de dix minutes dans l’espace ? »
Cela a été fait en 2011 et nous connaissons donc maintenant la demande des consommateurs pour les vols spatiaux.2
Que le produit considéré soit des céréales ou un vol dans l’espace, la méthode est la même. Si vous faites varier les prix dans la question et que vous interrogez un grand nombre de consommateurs, vous serez en mesure d’estimer la proportion de personnes prêtes à payer pour chaque niveau de prix. Ce faisant, vous pouvez estimer l’ensemble de la courbe de demande.
Estimation de la demande pour les Cheerios pomme-cannelle
Figure 7.3 Estimation de la demande pour les Cheerios pomme-cannelle.
Adaptée de la Figure 5.2 de Jerry A. Hausman. 1996. ‘Valuation of New Goods under Perfect and Imperfect Competition’.. In The Economics of New Goods, pp. 207–248. Chicago, IL: University of Chicago Press.
Si vous étiez le(la) dirigeant(e) de General Mills, comment choisiriez-vous le prix des Cheerios pomme-cannelle et quelle quantité produiriez-vous ?
Vous devez prendre en compte la manière dont cette décision affectera vos profits (la différence entre les recettes de la vente et les coûts de production). Supposons que le coût unitaire (le coût de production de chaque livre de céréales) des Cheerios pomme-cannelle soit de 2 $. Afin de maximiser votre profit, vous devriez produire la quantité exacte que vous vous attendez à vendre, et pas plus. Les recettes, coûts et profits sont donnés par :
\[\begin{align*} \text{coût total} &= \text{coût unitaire} \times \text{quantité} \\ &= 2 \times Q \\ \text{recette totale} &= \text{prix} \times \text{quantité} \\ &= P \times Q \\ \text{profit} &= \text{recette totale} - \text{coût total} \\ &= P \times Q - 2 \times Q \end{align*}\]Nous avons donc une formule pour le profit :
\[\text{profit} = (P-2) \times Q\]En utilisant cette formule, vous pouvez calculer le profit associé à n’importe quel choix de prix et de quantité et tracer des courbes d’isoprofit, comme sur la Figure 7.4. À l’instar des courbes d’indifférence, qui joignent des points indiquant un même niveau d’utilité, les courbes d’isoprofit joignent des points indiquant un même niveau de profit total. Nous pouvons interpréter les courbes d’isoprofit comme les courbes d’indifférence de l’entreprise : l’entreprise est indifférente entre les combinaisons de prix et quantité qui génèrent le même profit.
Question 7.1 Choisissez la ou les bonnes réponses
Le coût de production d’une entreprise est de 12 £ par unité produite. Si P est le prix du bien produit et Q le nombre d’unités produites, laquelle de ces propositions est correcte ?
- Au point (Q ; P) = (2 000 ; 20), profits = (20 - 12) × 2 000 = 16 000 £.
- Au point (Q ; P) = (1 200 ; 24), profits = (24 - 12) × 1 200 = 14 400 £. Au point (Q ; P) = (2000 ; 20), profits = (20 - 12) × 2 000 = 16 000 £. (2000 ; 20) est donc sur une courbe d’isoprofit plus élevée.
- Au point (Q ; P) = (2 000 ; 20), profits = (20 - 12) × 2 000 = 16 000 £. Au point (Q ; P) = (4 000 ; 16), profits = (16 - 12) × 4 000 = 16 000 £. Ces deux points se trouvent donc sur la même courbe d’isoprofit.
- Au point P = 12, l’entreprise ne fait pas de profits. (5 000 ; 12) se trouvera donc sur la courbe d’isoprofit horizontale représentant un profit nul.
Question 7.2 Choisissez la ou les bonnes réponses
Soit une entreprise dont le coût unitaire (le coût associé à la production d’une unité) est le même pour chaque niveau de production. Parmi les propositions suivantes, lesquelles sont correctes ?
- Une courbe d’isoprofit joint toutes les combinaisons prix-quantité pour lesquelles le profit de l’entreprise est le même.
- Si les profits sont élevés, le prix doit être supérieur au coût unitaire. Dans ce cas, si la quantité produite augmente, le prix doit être réduit afin de conserver un niveau de profits constant. Les courbes d’isoprofit doivent donc être descendantes.
- Vous pouvez calculer le niveau de profit pour n’importe quelle combinaison de prix et de quantité, et tracer une courbe d’isoprofit passant par ce point en trouvant tous les autres points correspondant au même niveau de profits.
- Si le prix est supérieur au coût unitaire, alors le prix doit être diminué lorsque la quantité produite augmente afin de conserver un niveau de profits constant. La courbe d’isoprofit est donc descendante.
Pour obtenir des profits élevés, vous souhaiteriez que le prix et la quantité soient tous deux aussi élevés que possible, mais vous êtes contraint(e) par la courbe de demande. Si vous choisissez un prix élevé, vous ne pourrez vendre qu’une faible quantité. À l’inverse, si vous voulez vendre en grande quantité, il vous faudra choisir un prix faible.
La courbe de demande détermine ce qui est réalisable. La Figure 7.5a présente sur un même graphique les courbes d’isoprofit et de demande. Vous faites face à un problème similaire à celui d’Alexei, l’étudiant de l’Unité 3 qui voulait choisir le point dans son ensemble des possibles où son utilité était maximisée. Vous voulez choisir une combinaison possible de prix et quantité qui vous permette de maximiser votre profit.
Votre meilleure stratégie consiste à choisir le point E sur la Figure 7.5a, correspondant à la production de 14 000 livres de céréales et à la vente au prix unitaire de 4,40 $, ce qui donnerait un profit de 34 000 $. Comme dans le cas d’Alexei dans l’Unité 3, la combinaison optimale de prix et de quantité implique un arbitrage entre deux compromis. Ici, nous avons fait l’hypothèse qu’en tant que dirigeant, vous vous souciez davantage du profit que d’une combinaison particulière du prix et de la quantité.
- taux marginal de substitution (TMS)
- Le compromis qu’une personne est prête à faire entre deux biens. En tout point, c’est la pente de la courbe d’indifférence. Voir également : taux marginal de transformation.
- taux marginal de transformation (TMT)
- La quantité d’un bien qui doit être sacrifiée afin d’obtenir une unité additionnelle d’un autre bien. En tout point, il correspond à la pente de la frontière des possibles. Voir également : taux marginal de substitution.
- La courbe d’isoprofit est votre courbe d’indifférence et sa pente à n’importe quel point représente le compromis que vous désirez faire entre P et Q — votre TMS. Vous êtes prêt(e) à accepter une quantité plus faible contre un prix plus élevé si vous obtenez le même niveau de profits.
- La pente de la courbe de demande correspond au compromis que vous êtes contraint(e) de faire — votre TMT, ou le taux auquel la courbe de demande vous permet de « transformer » une quantité en prix. Vous ne pouvez pas augmenter le prix sans diminuer la quantité, car le nombre de consommateurs prêts à acheter un produit plus cher est plus faible.
Ces deux compromis se compensent au choix de P et Q maximisant le profit.
Le dirigeant de General Mills n’a probablement pas envisagé sa décision de cette manière.
Le prix a peut-être été choisi par tâtonnements, à la lumière des expériences passées et des études de marché. Nous nous attendons cependant à ce qu’une entreprise trouve la voie, en quelque sorte, du prix et de la quantité maximisant ses profits. Le but de notre analyse économique n’est pas de modéliser le processus mental du dirigeant, mais plutôt de comprendre le résultat, et le lien entre ce résultat et les coûts de l’entreprise et la demande des consommateurs.
Même du point de vue d’un économiste, il existe d’autres manières d’envisager la maximisation des profits. Le graphique inférieur de la Figure 7.5b montre le niveau de profits qui serait atteint à chaque point de la courbe de demande.
Le graphique inférieur représente la fonction de profit : il montre le profit que vous atteindriez en choisissant une quantité, Q, et en fixant le prix le plus élevé permettant de vendre cette quantité, d’après la fonction de demande. Ce graphique montre de nouveau que vous obtiendriez un niveau de profit maximum de 34 000 $ avec Q = 14 000 livres de céréales.
Question 7.3 Choisissez la ou les bonnes réponses
Le tableau représente la demande Q sur le marché pour un certain bien, à différents niveaux de prix P.
| Q | 100 | 200 | 300 | 400 | 500 | 600 | 700 | 800 | 900 | 1 000 |
| P | 270 £ | 240 £ | 210 £ | 180 £ | 150 £ | 120 £ | 90 £ | 60 £ | 30 £ | 0 £ |
Le coût unitaire de production de l’entreprise est 60 £. À partir de cette information, parmi les propositions suivantes, laquelle est correcte ?
- Au point Q = 100, profits = (270 – 60) × 100 = 21 000 £.
- Au point Q = 400, profits = (180 - 60) × 400 = 48 000 £. Si vous calculez les profits pour chaque point de la courbe de demande, vous verrez que le niveau de profits est plus faible à tous les autres points.
- Le niveau maximum de profits est atteint au point Q = 400, où profits = (180 - 60) × 400 = 48 000 £.
- L’entreprise fera une perte (profits négatifs) pour chaque niveau de production strictement supérieur à 800. Pour une production d’exactement 800, le niveau de profits est de zéro.
Exercice 7.1 Changements sur le marché
Faites des graphiques pour montrer comment les courbes de la Figure 7.5a changeraient dans chacun des cas suivants :
- une entreprise concurrente produisant une marque similaire baisse drastiquement ses prix ;
- le coût de production des Cheerios pomme-cannelle augmente à 3 $ par livre ;
- Une étude gouvernementale très médiatisée montre que les produits de General Mills sont plus sains que les autres céréales pour petit déjeuner.
Pour faciliter la représentation des courbes, faites l’hypothèse que la courbe de demande est linéaire. Dans chaque cas, quelles sont les implications pour le prix et le profit ?
7.2 Économies d’échelle et avantages en termes de coûts de la production à grande échelle
Pourquoi les entreprises comme Walmart, Intel et FedEx sont-elles devenues si grandes ? Une raison majeure pour laquelle une grande entreprise est souvent plus rentable qu’une petite entreprise est que la première produit à un coût unitaire moindre. Cela peut s’expliquer par deux facteurs :
-
des avantages technologiques : la production à grande échelle nécessite souvent moins de matières premières par unité produite ;
-
des avantages en matière de coûts : dans les grandes entreprises, les coûts fixes comme la publicité ou l’acquisition des brevets nécessaires ou d’autres droits de propriété intellectuelle (DPI) se répercutent moins fortement sur le coût unitaire. Les grandes entreprises peuvent également acheter leurs facteurs de production à moindres coûts grâce à un pouvoir de négociation plus important.
- économies d’échelle
- C’est le cas lorsque doubler tous les facteurs de production fait plus que doubler le niveau de la production. La forme de la courbe de coût moyen à long terme de l’entreprise dépend non seulement des rendements d’échelle dans la production mais également de l’effet d’échelle sur les prix que l’entreprise paye pour ses facteurs de production. Connu également sous le terme : rendements d’échelle croissants. Voir également : déséconomies d’échelle.
- déséconomies d’échelle
- C’est le cas lorsque doubler tous les facteurs de production fait moins que doubler le niveau de la production. Connu également sous le terme : rendements d’échelle décroissants. Voir également : économies d’échelle.
- rendements d’échelle constants
- C’est le cas lorsque doubler tous les facteurs de production double le niveau de la production. La forme de la courbe de coût moyen de l’entreprise à long terme dépend des rendements d’échelle dans la production mais également de l’effet d’échelle sur les prix que l’entreprise paye pour ses facteurs de production. Voir également : rendements d’échelle croissants, rendements d’échelle décroissants.
Les économistes utilisent le terme d’économies d’échelle ou de rendements croissants pour décrire les avantages technologiques de la production à grande échelle. Par exemple, si doubler la quantité de chaque facteur de production triple la production, alors l’entreprise connaît des rendements croissants.
Les économies d’échelle peuvent provenir d’une spécialisation au sein de l’entreprise, permettant aux salariés d’accomplir la tâche où ils excellent et de minimiser les temps de formation, car l’ensemble de compétences exigées pour chaque salarié est limité. Les économies d’échelle peuvent aussi découler de raisons purement techniques : transporter plus de liquide nécessite un tuyau plus grand, mais doubler la capacité d’un tuyau est possible en augmentant son diamètre (et le matériel nécessaire à sa construction) d’un facteur inférieur à deux. Pour preuve, consultez la rubrique Einstein sur la taille et le coût d’un tuyau à la fin de cette section.
Économies et déséconomies d’échelle
Si l’on augmente tous les facteurs de production d’une certaine proportion et que cela :
- augmente la production plus que proportionnellement, alors on dit que la technologie présente des rendements d’échelle croissants dans la production ou des économies d’échelle ;
- augmente la production moins que proportionnellement, on dit que la technologie présente des rendements d’échelle décroissants ou des déséconomies d’échelle ;
- augmente la production proportionnellement, on dit que la technologie présente des rendements d’échelle constants.
Cependant, il existe aussi des déséconomies d’échelle internes. Prenez les propriétaires de l’entreprise, ses dirigeants, ses superviseurs de production et ses ouvriers. Imaginez que chaque superviseur puisse diriger 10 ouvriers, que chaque dirigeant puisse diriger 10 superviseurs, et ainsi de suite. Si l’entreprise emploie 10 ouvriers, le propriétaire peut s’occuper de la gestion du personnel et de la supervision. Si elle emploie 100 ouvriers, il faut ajouter 10 superviseurs et si elle passe à 1 000 ouvriers, elle a alors besoin de recruter un autre niveau d’encadrement pour superviser le premier niveau de superviseurs. Dans ce cas, la supervision des ouvriers nécessite une augmentation plus que proportionnelle du nombre de superviseurs. La seule manière d’augmenter proportionnellement tous les moyens de production dans cette entreprise serait de réduire l’intensité de la supervision, impliquant des pertes de productivité. Nous appelons cette déséconomie d’échelle la loi Dilbert de la hiérarchie en entreprise (d’après une bande dessinée Dilbert). Référez-vous à la rubrique Einstein à la fin de cette section pour voir comment calculer la déséconomie d’échelle causée par notre loi Dilbert.
Avantages en matière de coûts
- recherche et développement
- Dépenses effectuées par une entité privée ou publique afin de créer de nouvelles méthodes de production, de nouveaux produits ou toute autre nouvelle connaissance importante sur le plan économique.
Le coût par unité peut baisser lorsque l’entreprise produit plus, même en cas de rendements d’échelle constants ou décroissants. C’est le cas lorsqu’il existe un coût fixe ne dépendant pas du nombre d’unités produites — il reste le même que l’entreprise produise une unité ou plusieurs. Un exemple serait le coût de la recherche et développement (R&D) et de la conception du produit, l’achat d’une licence autorisant la production ou l’obtention d’un brevet pour une technique spécifique. Les dépenses en marketing telles que la publicité sont aussi des coûts fixes. Une publicité de 30 secondes pendant la retransmission télévisée du Super Bowl en 2014 a coûté 4 millions de dollars, une dépense qui ne peut se justifier que si elle permet d’augmenter significativement le nombre d’unités vendues.
Les dépenses de lobbying des entreprises en vue d’obtenir un traitement favorable de la part des pouvoirs publics, les contributions aux campagnes électorales (dans les pays où la loi l’autorise) et les dépenses en relations publiques s’apparentent aussi aux coûts fixes. Elles sont engagées plus ou moins indépendamment du niveau de production de l’entreprise.
Les grandes entreprises sont également capables d’acheter leurs facteurs de production à des conditions plus favorables, car elles ont plus de pouvoir de négociation que les petites entreprises dans leurs relations avec les fournisseurs.
Avantages en termes de demande
- effet des réseaux dans les économies d’échelle
- Il existe lorsqu’une augmentation du nombre d’utilisateurs d’un produit d’une entreprise augmente la valeur du produit pour chacun d’entre eux, car ils sont interconnectés.
Une grande taille peut avantager une entreprise non seulement pour sa production, mais aussi pour ses ventes. C’est le cas lorsque les gens sont plus à même d’acheter un produit ou un service parce qu’il a déjà de nombreux clients. Par exemple, un logiciel est plus utile quand tout le monde utilise une version compatible. Ces économies d’échelle du côté de la demande sont appelées effets de réseaux. On en trouve de nombreux exemples dans les marchés liés aux technologies.
En raison des économies d’échelle, de la réduction des coûts et de l’augmentation de la demande qu’elle crée, la production à grande échelle exerce une influence importante sur la taille des entreprises. La production par un petit groupe de personnes est en effet souvent trop coûteuse pour rivaliser avec les grandes entreprises.
Les petites entreprises n’ont généralement d’autre choix que de s’agrandir ou de faire faillite, mais il y a des limites à la croissance d’une entreprise. Nous avons déjà vu dans l’Unité 6 que les entreprises peuvent délocaliser la production de leurs composants. La croissance d’une entreprise est limitée, dans une certaine mesure, par le fait qu’il revient parfois moins cher d’acheter une partie du produit plutôt que de le fabriquer soi-même. Apple serait gigantesque si l’entreprise décidait de produire les écrans tactiles, les cartes à puce et les autres composants des iPhone et des iPad, plutôt que d’acheter ces éléments à Toshiba, Samsung et à d’autres fournisseurs. La stratégie d’externalisation d’Apple limite sa taille, tout en augmentant la taille de Toshiba, de Samsung et des autres entreprises qui produisent les composants Apple.
Dans la section suivante, nous modéliserons la manière dont les coûts d’une entreprise dépendent de son échelle de production.
Question 7.4 Choisissez la ou les bonnes réponses
Lesquelles des propositions suivantes sont correctes ?
- Avec des rendements constants, augmenter les facteurs de production augmente la quantité produite par la même proportion.
- Avec des rendements décroissants, doubler les facteurs de production fait moins que doubler la quantité produite.
- Puisque l’entreprise peut augmenter sa production avec une augmentation moins que proportionnelle des facteurs de production, son coût unitaire va diminuer.
- Avec des rendements décroissants, augmenter les facteurs de production va conduire à une augmentation moins que proportionnelle de la quantité produite.
Einstein La taille et le coût d’un tuyau
Nous pouvons utiliser des notions élémentaires de mathématiques pour trouver de combien augmente le coût de fabrication d’un tuyau lorsque l’aire de son disque est multipliée par deux. La formule de l’aire d’un disque est :
\[\text{aire d'un disque} = \pi \times (\text{rayon du disque})^2\]Partons du principe que l’aire du disque est initialement de 10 cm2 et qu’on la double pour arriver à 20 cm2. Nous pouvons utiliser l’équation ci-dessus pour trouver le rayon du tuyau dans chaque cas.
Quand l’aire du tuyau est de 10 :
\[\text{rayon} = \sqrt{\frac{10}{\pi}} = 1,78\text{ cm}\]Quand l’aire du tuyau est de 20 :
\[\text{rayon} = \sqrt{\frac{20}{\pi}} = 2,52\text{ cm}\]Le coût du matériau utilisé pour construire un tuyau d’une certaine longueur est proportionnel à sa circonférence. La formule de la circonférence d’un cercle est :
\[\text{circonférence} = 2 \times \pi \times \text{rayon du cercle}\]Quand l’aire du tuyau est de 10 :
\[\text{circonférence} = 2 \times \pi \times 1,78 = 11,18\text{ cm}\]Quand l’aire du tuyau est de 20 :
\[\text{circonférence} = 2 \times \pi \times 2,52 = 15,83\text{ cm}\]La capacité du tuyau a été doublée, mais la circonférence, et donc le coût, a seulement augmenté d’un facteur de :
\[\frac{15,83}{11,18} = 1,42\]Nous pouvons clairement voir que l’entreprise bénéficie d’économies d’échelle dans ce cas.
Déséconomies d’échelle : loi Dilbert de la hiérarchie en entreprise selon CORE
Si chaque groupe de dix employés d’un niveau hiérarchique donné devait avoir un superviseur de niveau supérieur, alors une entreprise ayant 10x ouvriers (le bas de l’échelle) aurait x niveaux d’encadrement, correspondant à 10x−1 superviseurs au niveau hiérarchique le moins élevé, 10x−2 au second niveau le moins élevé, et ainsi de suite.
Une entreprise comptant 1 million (106) d’ouvriers aurait donc 100 000 (105 = 106−1) superviseurs du plus bas niveau hiérarchique. Dilbert n’a pas inventé la loi. Il était contrôlé de trop près par son superviseur pour avoir le temps de le faire. C’est l’équipe CORE qui l’a fait.
7.3 Production : la fonction de coût de Beautiful Cars
Afin de fixer le prix et le niveau de production des Cheerios pomme-cannelle, le dirigeant avait besoin de connaître la fonction de demande et les coûts de production. En supposant que le coût de production de chaque livre de Cheerios était identique, le niveau de production était déterminé par la demande pour le produit. Dans cette section et la suivante, nous allons nous intéresser à un autre exemple, quand les coûts varient en fonction du niveau de production.
Prenez l’exemple d’une entreprise qui fabrique des voitures. Par rapport à Ford, qui produit environ 6,6 millions de véhicules par an, notre entreprise fictive produit des voitures pour un marché de niche et est plutôt petite : nous l’appellerons donc Beautiful Cars.
Pensez aux coûts de production et de vente des voitures. L’entreprise a besoin de locaux (une usine) équipés de machines pour le moulage, le forgeage, le montage et le soudage des carrosseries. Elle peut les louer à une autre entreprise ou rassembler le capital financier nécessaire pour investir dans ses propres locaux et équipements. Ensuite, elle doit acheter les matières premières et les composants et rémunérer les ouvriers qui font fonctionner les équipements. Elle a aussi besoin de salariés pour gérer les processus d’achat et de production et pour vendre les voitures.
- coût d’opportunité
- Lorsque le choix d’une action requiert de renoncer à l’action de second rang, il s’agit du bénéfice net de l’alternative à laquelle on renonce.
- coût d’opportunité du capital
- La quantité de revenu qu’un investisseur aurait pu obtenir en investissant l’unité de capital ailleurs.
En général, les propriétaires de l’entreprise – les actionnaires – n’y investiront pas s’ils peuvent faire un meilleur usage de leur argent en investissant et en réalisant des profits ailleurs. Ce qu’ils pourraient recevoir ailleurs, pour chaque dollar investi, est un autre exemple de coût d’opportunité (abordé dans l’Unité 3), appelé ici coût d’opportunité du capital. L’une des composantes du coût de production des voitures est le montant à verser aux actionnaires afin de couvrir le coût d’opportunité du capital – c’est-à-dire pour les inciter à continuer à investir dans les actifs dont l’entreprise a besoin pour produire des voitures.
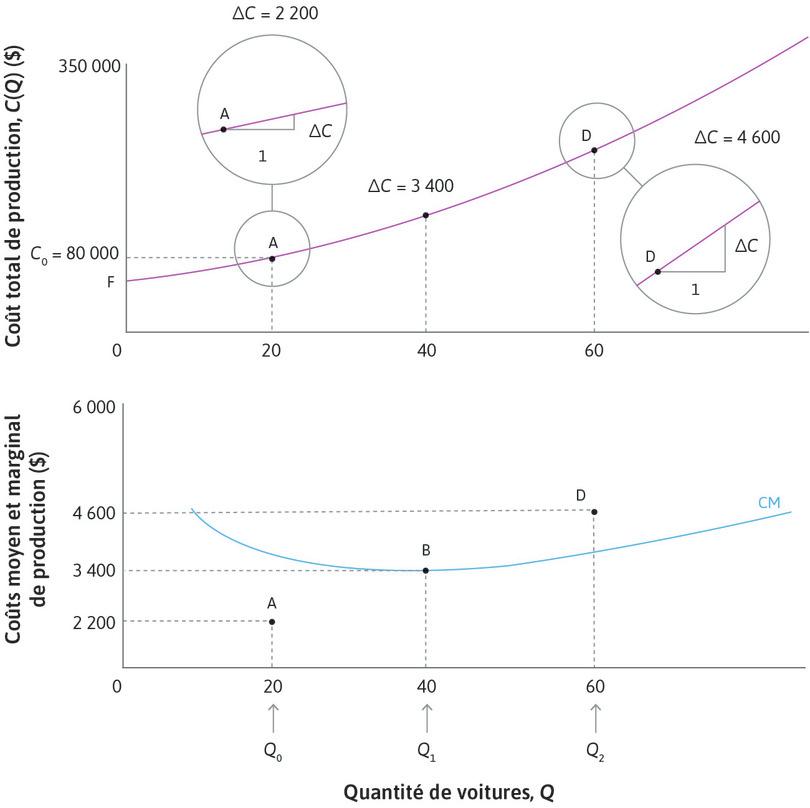
Plus il y a de voitures produites, plus les coûts totaux sont élevés. Le graphique supérieur de la Figure 7.6 montre la manière dont les coûts totaux dépendent de la quantité de voitures Q produites chaque jour. C’est la fonction de coût de l’entreprise, C(Q). À partir de la fonction de coût, nous avons déterminé le coût moyen d’une voiture, et la manière dont il varie lorsque Q varie. La courbe de coût moyen (CM) est présentée sur le graphique inférieur.
- coûts fixes
- Coûts de production qui ne varient pas avec le nombre d’unités produites.
Nous pouvons voir sur la Figure 7.6 que les coûts moyens de Beautiful Cars sont décroissants pour de faibles niveaux de production : la courbe CM est descendante. Pour des niveaux de production élevés, le coût moyen augmente et la courbe CM est ascendante. Cela peut être dû au fait que l’entreprise doit augmenter le nombre de roulements quotidiens des équipes sur la chaîne de montage. Elle doit peut-être aussi payer des heures supplémentaires et l’équipement peut tomber en panne plus fréquemment lorsque la chaîne de montage fonctionne plus longtemps.
- coût marginal (Cm)
- L’effet sur le coût total de produire une unité additionnelle. Cela correspond à la pente de la fonction de coût total en tout point.
La Figure 7.7 indique comment trouver le coût marginal d’une voiture, c’est-à-dire le coût de production d’une voiture supplémentaire. Dans l’Unité 3, nous avons vu que, pour une fonction de production donnée, le produit marginal correspondait à la production supplémentaire rendue possible par l’augmentation d’une unité de facteurs de production. Graphiquement, cela correspond à la pente de la fonction de production. De manière similaire, la Figure 7.7 montre que le coût marginal (Cm) correspond à la pente de la fonction de coût.
Coût marginal
Pour chaque point de la fonction de coût, le coût marginal (Cm) est le coût de production additionnel dû à une unité supplémentaire. Il correspond à la pente de la fonction de coût. Si le coût augmente de ∆C quand la quantité augmente de ∆Q, le coût marginal peut être estimé par :
\[Cm = \frac{\Delta C}{\Delta Q}\]
En calculant le coût marginal pour chaque valeur de Q, nous pouvons tracer la courbe de coût marginal en entier dans le graphique inférieur de la Figure 7.7. Comme le coût marginal est égal à la pente de la fonction de coût et comme la courbe de coût devient plus pentue lorsque Q augmente, la représentation graphique du coût marginal est une droite ascendante. En d’autres termes, la production des Beautiful Cars implique des coûts marginaux croissants. C’est ce coût marginal croissant qui explique l’augmentation des coûts moyens.
Remarquez que sur la Figure 7.7, nous avons calculé le coût marginal en trouvant la variation de coûts ∆C associée à la production d’une voiture supplémentaire. Parfois, il est plus facile de choisir une autre augmentation de quantité. Si nous savons que les coûts augmentent de ∆C = 12 000 $ lorsque 5 voitures supplémentaires sont produites, alors nous pourrions calculer ∆C/∆Q, avec ∆Q = 5, pour obtenir une estimation de Cm de 2 400 $ par voiture. En général, lorsque la courbe de coût est incurvée, un ∆Q plus faible donne une estimation plus précise.
Regardez maintenant la forme des courbes CM et Cm, présentées de nouveau sur la Figure 7.8. Vous pouvez voir que la courbe CM est descendante lorsque Q prend des valeurs pour lesquelles le CM est supérieur au Cm, et est ascendante lorsque le CM est inférieur au Cm. Ça n’est pas une simple coïncidence : cela arrive quelle que soit la forme de la fonction de coût total. Suivez l’analyse de la Figure 7.8 pour comprendre pourquoi.
Leibniz : fonctions de coût moyen et de coût marginal
Question 7.5 Choisissez la ou les bonnes réponses
Pensez à une entreprise ayant des coûts fixes de production. Parmi les propositions suivantes au sujet de son coût moyen (CM) et de son coût marginal (Cm), laquelle est correcte ?
- Quand CM = Cm, le coût d’une unité supplémentaire est égal au coût moyen de toutes les unités existantes. Le nouveau CM est donc le même, et la pente est égale à zéro.
- La courbe Cm peut être ascendante, horizontale ou descendante, indépendamment de la taille relative de CM et Cm.
- Quand CM < Cm, le coût d’une unité supplémentaire est supérieur au coût moyen des unités déjà produites. Le nouveau CM sera donc plus élevé, et la courbe CM ascendante.
- Si Cm est constant, alors la courbe Cm est horizontale.
Question 7.6 Choisissez la ou les bonnes réponses
Supposez que le coût unitaire de production d’une livre de céréales soit de 2 $, quel que soit le niveau de production.(Cela signifie qu’il n’y a pas de coûts fixes, c’est-à-dire des coûts qui sont encourus pour n’importe quel niveau de production, y compris pour un niveau de production nul.) Parmi les propositions suivantes, laquelle est correcte ?
- Coût total = 2Q, où Q est la quantité produite. C’est une ligne droite, ascendante et qui passe par l’origine.
- Coût moyen = 2, quelle que soit la quantité produite. C’est une ligne droite horizontale.
- Coût marginal = 2, quelle que soit la quantité produite. C’est une ligne droite horizontale.
- Les coûts marginaux et moyens sont tous deux égaux à 2, quelle que soit la quantité produite. Les courbes qui les représentent coïncident donc.
Exercice 7.2 Fonction de coût pour les Cheerios pomme-cannelle
Les fonctions de coût peuvent bien sûr avoir des formes différentes de celle dessinée pour les Beautiful Cars. Pour les Cheerios pomme-cannelle, nous avons fait l’hypothèse que le coût moyen était constant, de sorte que le coût unitaire d’une livre de céréales était égal à 2 $, quelle que soit la quantité produite.
- Dessinez la fonction de coût (également appelée « courbe de coût total ») dans ce cas.
- À quoi ressemblent les fonctions de coût moyen et de coût marginal ?
- Supposez maintenant que le coût marginal de production d’une livre de Cheerios soit de 2 $, quelle que soit la quantité, mais qu’il y ait aussi des coûts fixes associés à la production. Dessinez les courbes de coûts total, marginal et moyen dans ce nouveau cas.
- économie de gamme
- Économies en termes de coûts, réalisées lorsque deux produits ou plus sont produits conjointement par une même entreprise, au lieu d’être produits dans des entreprises distinctes.
Les économistes Rajindar et Manjulika Koshal ont étudié les fonctions de coût des universités publiques américaines.3 Ils ont estimé le coût marginal et le coût moyen de l’enseignement dispensé aux étudiants de premier et de deuxième cycle inscrits dans 171 universités publiques au cours de l’année universitaire 1990–1991. Comme nous le verrons dans l’Exercice 7.3, ils ont trouvé que les coûts moyens étaient décroissants. Ils ont aussi trouvé que les universités bénéficiaient d’économies de gamme : des coûts ont été évités grâce à la production de plusieurs biens – ici, les enseignements de niveau licence et de niveau master, ainsi que la recherche.4
Si vous souhaitez en savoir plus sur les coûts, l’économiste George Stigler en propose une discussion divertissante dans le chapitre 7 de son livre.5
Exercice 7.3 Fonctions de coût pour l’enseignement universitaire
Ci-dessous, vous trouverez le coût moyen et le coût marginal par étudiant pour l’année 1990–1991, estimés par Koshal et Koshal à partir de leur étude.
Étudiants Cm ($) CM ($) Coût total ($) Étudiants de licence 2 750 7 259 7 659 21 062 250 5 500 6 548 7 348 40 414 000 8 250 5 838 7 038 11 000 5 125 6 727 73 997 000 13 750 4 417 6 417 88 233 750 16 500 3 706 6 106 100 749 000 Étudiants Cm ($) CM ($) Coût total ($) Étudiants de master 550 6 541 12 140 6 677 000 1 100 6 821 9 454 10 339 400 1 650 7 102 8 672 2 200 7 383 8 365 18 403 000 2 750 7 664 8 249 22 684 750 3 300 7 945 8 228 27 152 400
- Comment est-ce que les coûts moyens varient lorsque le nombre d’étudiants augmente ?
- À partir des données du coût moyen, complétez les cases manquantes dans la colonne du coût total.
- Tracez les courbes de coût marginal et de coût moyen de l’enseignement de licence sur un graphique, en plaçant les coûts sur l’axe des ordonnées et le nombre d’étudiants sur l’axe des abscisses. Sur un autre graphique, tracez les courbes équivalentes pour les étudiants de master.
- Quelles sont les formes des fonctions de coût total pour les étudiants de licence et de master ? (Vous pouvez les dessiner en utilisant ce que vous savez du Cm et du CM.) Tracez-les sur un graphique unique en utilisant les nombres de la colonne de coût total.
- Quelles sont les différences principales entre les structures de coûts pour les universités entre les étudiants de licence et ceux de master ?
- Comment expliquer la forme des courbes que vous venez de dessiner ?
7.4 Courbes de demande et d’isoprofit : Beautiful Cars
- produit différencié
- Un produit d’une seule entreprise qui a des caractéristiques uniques qui le différencient des produits des autres entreprises.
Toutes les voitures ne sont pas identiques. Ce sont des produits différenciés. Chaque marque et chaque modèle est produit par une seule et même entreprise et a des caractéristiques uniques en termes de conception, de performances, qui le différencient des voitures fabriquées par d’autres entreprises.
On peut s’attendre à ce qu’une entreprise qui vend un produit différencié connaisse une courbe de demande descendante. Nous en avons vu un exemple empirique avec le cas des Cheerios pomme-cannelle (un autre produit différencié). Si le prix d’une voiture Beautiful Cars est élevé, la demande sera faible, car seuls les consommateurs qui préfèrent Beautiful Cars aux autres marques l’achèteront. Si le prix baisse, davantage de consommateurs seront attirés par Beautiful Cars, ceux-là mêmes qui auraient sûrement acheté une Ford ou une Volvo sinon.
Courbe de demande
Pour tout produit que des clients peuvent vouloir acheter, la courbe de demande du produit est une relation qui nous dit le nombre d’unités (la quantité) qu’ils achèteront, pour chaque prix possible. Pour un modèle simple de la demande de Beautiful Cars, imaginez qu’il y ait 100 clients potentiels qui achèteraient chacun une Beautiful Car aujourd’hui, si le prix était assez bas.
- disposition à payer (DAP)
- Un indicateur de la valeur attribuée à un bien par un individu, mesurée par la somme maximale que cet individu est prêt à payer pour obtenir une unité de ce bien. Voir également : disposition à accepter.
Chaque consommateur a une disposition à payer (DAP) pour une Beautiful Car, qui dépend de la valeur qu’il lui attache personnellement (en supposant qu’il ait les moyens de l’acheter, évidemment). Un consommateur achètera la voiture si le prix de cette dernière est inférieur ou égal à sa DAP. Supposez que nous ordonnons sur une droite l’ensemble des clients potentiels par ordre décroissant de leur DAP, et que nous représentons graphiquement comment la DAP varie le long de cette droite (Figure 7.9). Ensuite, pour tout niveau de prix, disons P = 3 200 $, le graphique montre le nombre de clients dont la DAP serait supérieure ou égale à P. Dans ce cas, 60 clients sont prêts à payer 3 200 $ ou plus, donc la demande de voitures pour un prix de 3 200 $ est 60.
Figure 7.9 Demande de voitures (par jour).
Si P est plus faible, le nombre de clients prêts à acheter augmente et donc la demande est plus élevée. Les courbes de demande sont souvent dessinées sous la forme de lignes droites, comme dans cet exemple, bien qu’il n’y ait aucune raison de penser qu’elles soient droites en réalité : nous avons bien vu que la courbe de demande pour les Cheerios pomme-cannelle n’était pas droite. En revanche, nous pouvons nous attendre à ce que les courbes de demande soient descendantes : lorsque le prix augmente, la quantité demandée par les consommateurs diminue. Réciproquement, quand la quantité disponible est faible, le produit peut être vendu à un prix élevé. Cette relation entre prix et quantité est parfois appelée « loi de la demande ».
La loi de la demande remonte au 17e siècle et est attribuée à Gregory King (1648–1712) et Charles Davenant (1656–1714). King appartenait au collège des Hérauts à Londres et produisait des statistiques détaillées sur la population et la richesse en Angleterre. La loi de la demande de Davenant-King a été publiée en 1699 par Davenant, un homme politique, sur la base des données de King. Elle décrivait les variations du prix du maïs en fonction de la taille de la récolte. Il calcula, par exemple, qu’un « défaut » ou une pénurie de 10 % augmenterait le prix de 30 %.6
Question 7.7 Choisissez la ou les bonnes réponses
Le graphique représente deux courbes de demande possibles, D et D’, pour un certain produit. Sur la base de ce graphique, lesquelles des propositions suivantes sont correctes ?
- Sur la courbe de demande D, lorsque le prix est de 5 000 £, l’entreprise peut vendre 10 unités.
- Lorsque Q = 70, le prix correspondant sur D’ est 3 000 £.
- D’ peut être vue comme un déplacement vers la droite de D, à hauteur de 40 unités. Pour n’importe quel prix, l’entreprise peut donc vendre 40 unités de plus lorsque la courbe de demande est D’ plutôt que D.
- Lorsqu’elle produit 30 unités, l’entreprise peut faire payer 4 000 £ de plus lorsque la courbe de demande est D’ plutôt que D.
Tout comme le producteur de Cheerios pomme-cannelle, Beautiful Cars choisira le prix, P, et la quantité, Q, en prenant en compte sa courbe de demande et ses coûts de production. La courbe de demande détermine l’ensemble des combinaisons possibles de P et Q. Pour trouver le point maximisant le profit, nous dessinerons les courbes d’isoprofit et chercherons le point de tangence, comme précédemment.
Courbes d’isoprofit
Le profit de l’entreprise est la différence entre ses recettes (le prix multiplié par la quantité vendue) et ses coûts totaux, C(Q) :
\[\begin{align*} \text{profit} &= \text{recettes totales} - \text{coûts totaux} \\ &= PQ - C(Q) \end{align*}\]- profit économique
- Les recettes d’une entreprise auxquelles on soustrait les coûts totaux (y compris le coût d’opportunité du capital).
- profits normaux
- Correspondent aux profits économiques nuls et impliquent que le taux de profit est égal au coût d’opportunité du capital. Voir également : profit économique, coût d’opportunité du capital.
Cette formule correspond au profit économique. Rappelez-vous que la fonction de coût prend en compte le coût d’opportunité du capital (les paiements faits aux actionnaires pour les inciter à prendre des parts), qui est appelé le profit normal. Le profit économique est le profit supplémentaire par rapport au rendement minimum exigé par les actionnaires.
De manière équivalente, le profit est le nombre d’unités produites multiplié par le profit par unité, qui est la différence entre le prix et le coût moyen.
\[\begin{align*} \text{profit} &= Q(P-\frac{C(Q)}{Q}) \\ &= Q(P- \text{CM}) \end{align*}\]À partir de cette équation, vous pouvez voir que la forme des courbes d’isoprofit dépendra de la forme de la courbe de coût moyen. Rappelez-vous que, pour Beautiful Cars, la courbe de coût moyen est descendante jusqu’au point Q = 40, puis devient ascendante. La Figure 7.10 montre les courbes d’isoprofit correspondantes. Elles ont l’air identiques à celles des Cheerios de la Figure 7.3, mais quelques différences sont à noter, car la fonction de coût moyen a une forme différente. La courbe la plus basse (en bleu clair) correspond à la courbe du profit économique nul : les combinaisons de prix et quantité pour lesquelles le profit économique est égal à zéro, car le prix est juste égal au coût moyen de production quelle que soit la quantité.
Vous pouvez remarquer sur la Figure 7.10 que :
- Les courbes d’isoprofit sont descendantes lorsque P > Cm.
- Les courbes d’isoprofit sont ascendantes lorsque P < Cm.
- marge de profit
- La différence entre le prix et le coût marginal.
La différence entre le prix et le coût marginal est appelée la marge bénéficiaire. À n’importe quel point sur une courbe d’isoprofit, la pente est donnée par :
\[\begin{align*} \text{pente de la courbe d’isoprofit} &= -\frac{(P- \text{Cm})}{Q} \\ &= -\frac{\text{marge bénéficiaire}}{\text{quantité}} \end{align*}\]Pour comprendre l’intuition, repensez au point G sur la Figure 7.10, où Q = 23 et le prix est bien plus élevé que le coût marginal. Si vous :
-
augmentez Q de 1
-
réduisez P de (P − Cm)/Q
alors, le profit sera le même, car le profit supplémentaire (P − Cm) réalisé sur la vente de la 24e voiture sera compensé par une baisse des recettes de (P − Cm) sur les 23 autres voitures.
Leibniz : Courbes d’isoprofit et leurs pentes
Le même raisonnement s’applique à chaque point où P > Cm. Dans ce cas, la marge bénéficiaire est positive et la pente est donc négative. Il s’applique aussi lorsque P < Cm. Dans ce cas, la marge bénéficiaire est négative, de sorte qu’une augmentation du prix est nécessaire pour conserver le profit constant, lorsque la quantité produite augmente d’une unité. Cela explique pourquoi la courbe d’isoprofit est ascendante.
Question 7.8 Choisissez la ou les bonnes réponses
Le graphique représente la courbe de coût marginal (Cm), la courbe de coût moyen (CM) et les courbes d’isoprofit d’une entreprise. Que pouvons-nous déduire des informations du graphique ?
- Le profit est zéro, quel que soit le point sur la courbe CM (car le prix est égal au coût marginal, et profit = quantité vendue × (prix – coût moyen)).
- Le niveau de profits pour la courbe d’isoprofit passant par B peut être calculé au point Q = 10, où CM = 20 et P = 40 : profits = (40 – 20) × 10 = 200.
- Le niveau de profits pour la courbe d’isoprofit peut être calculé au point Q = 10, où CM = 20 et P = 70. Le profit est donc (70 – 20) × 10 = 500. Au point C, Q = 20, donc le profit par unité est (P – CM) = 25. Comme CM = 25, P doit être 50.
- Le niveau de profits pour la courbe d’isoprofit passant par B peut être calculé au point Q = 10, où CM = 20 et P = 40. Le profit est donc (40 – 20) × 10 = 200. Au point B, Q = 20, donc le profit par unité est (P – CM) = 10. Comme CM = 25, P doit être 35.
Exercice 7.4 Examen des courbes d’isoprofit
Les courbes d’isoprofit de Cheerios sont descendantes quelle que soit la quantité produite, mais pour Beautiful Cars, elles sont descendantes lorsque Q est faible, et ascendantes lorsque Q est élevé.
- Dans les deux cas, les courbes d’isoprofit plus élevées se rapprochent de la courbe de coût moyen lorsque la quantité augmente. Pourquoi ?
- Comment expliquer la différence dans la forme des courbes d’isoprofit des deux entreprises ?
7.5 Fixation du prix et de la quantité pour maximiser les profits
Sur la Figure 7.11, nous avons présenté à la fois la courbe de demande et les courbes d’isoprofit pour Beautiful Cars. Quel est le meilleur choix de prix et de quantité pour le producteur ?
Les seuls choix possibles sont ceux situés sur ou en dessous de la courbe de demande, indiqués par la partie colorée sur le graphique. Pour maximiser ses profits, l’entreprise devrait choisir le point de tangence E, correspondant à la courbe d’isoprofit la plus élevée possible.
Figure 7.11 Choix de prix et de quantité maximisant les profits de Beautiful Cars.
Le prix et la quantité maximisant les profits sont P* = 5 440 $ et Q* = 32, correspondant à un profit de 63 360 $. Comme dans le cas des Cheerios, la combinaison optimale de prix et de quantité arbitre entre deux compromis, celui, d’une part, que l’entreprise est prête à faire entre le prix et la quantité (pour un niveau de profit donné) et celui, d’autre part, que l’entreprise est obligée de faire face à la courbe de demande.
Les profits de l’entreprise sont maximisés au point de tangence, où la pente de la courbe de demande est égale à la pente de la courbe d’isoprofit. À ce point, un équilibre est réalisé entre les deux compromis :
- la courbe de demande est la frontière des possibles et sa pente est le taux marginal de transformation (TMT) de prix plus faibles en quantités vendues plus élevées ;
- la courbe d’isoprofit est la courbe d’indifférence et sa pente est le taux marginal de substitution (TMS) associé à la création de profits, entre vendre plus et faire payer plus.
Au point E, là où les profits sont maximisés, TMT = TMS.
Leibniz : Prix maximisant le profit
Par rapport aux géants mondiaux de l’industrie automobile, Beautiful Cars est une petite entreprise : elle choisit de ne fabriquer que 32 voitures par jour. En termes de niveau de production (mais pas de prix), elle est plus proche des marques de luxe, comme Aston-Martin, Rolls Royce et Lamborghini qui produisent chacune moins de 5 000 voitures par an. La taille de Beautiful Cars est en partie déterminée par sa fonction de demande — elle n’a que 100 acheteurs potentiels par jour, quel que soit le prix. Sur le plus long terme, l’entreprise pourrait peut-être accroître la demande grâce à la publicité, afin d’attirer l’attention de plus de consommateurs sur ses produits et de les convaincre de leurs qualités. Cependant, si elle désire accroître sa production, l’entreprise devra également considérer sa structure de coûts, comme dans la Figure 7.7. Dans la situation initiale, elle a des coûts marginaux qui augmentent rapidement, de sorte que le coût moyen commence à augmenter quand la production quotidienne dépasse 40 unités. Avec ses installations et équipements, il lui est difficile de produire plus de 40 voitures. Un investissement dans de nouveaux équipements pourrait contribuer à réduire les coûts marginaux et rendre possible une augmentation de la production.
Optimisation sous contrainte
- problème de choix sous contrainte
- Ce problème se pose quand nous réfléchissons à la manière de faire le meilleur choix pour nous, étant donné nos préférences et contraintes et lorsque les choses désirées sont rares. Voir également : problème d’optimisation sous contrainte.
Le problème de maximisation du profit est un autre problème de choix sous contrainte, déjà abordé dans les unités précédentes : le choix d’Alexei du temps passé à étudier, le vôtre et celui d’Angela concernant son temps de travail, le choix du salaire fait par l’employeur de Maria.
Tous ces problèmes ont la même structure :
- le décideur veut choisir la valeur d’une ou de plusieurs variables afin d’atteindre un but ou objectif. Pour Beautiful Cars, les variables sont le prix et la quantité ;
- l’objectif est d’optimiser quelque chose : pour maximiser l’utilité, minimiser les coûts ou maximiser le profit ;
- le décideur fait face à une contrainte, qui limite ce qui est possible : la fonction de production d’Angela, votre contrainte de budget, la courbe de meilleure réponse de Maria, la courbe de demande des Beautiful Cars.
Dans chaque cas, nous avons représenté graphiquement le choix du décideur, en présentant des courbes d’indifférence, qui sont liées à l’objectif (iso-utilité, isocoût ou isoprofit) et l’ensemble de résultats possibles déterminé par la contrainte. Nous avons trouvé la solution du problème au point de tangence, où le TMS (pente de la courbe d’indifférence) est égal au TMT (pente de la contrainte).
Optimisation sous contrainte
Un décideur choisit la valeur d’une ou plusieurs variables :
- … afin d’atteindre un objectif
- … soumis à une contrainte qui détermine l’ensemble des possibles
L’optimisation sous contrainte a de nombreuses applications en économie ; ce type de problème peut être résolu mathématiquement et graphiquement.
Question 7.9 Choisissez la ou les bonnes réponses
La Figure 7.11 représente la courbe de demande pour Beautiful Cars, ainsi que les courbes de coût marginal et d’isoprofit. La combinaison quantité-prix au point E est (Q*; P*) = (32; 5 440). Le coût moyen lorsque 50 voitures sont produites est le même que lorsque 32 voitures sont produites. Supposez que l’entreprise conserve un prix P = 5 440 $, mais décide de produire 50 voitures au lieu de 32. Parmi les propositions suivantes, laquelle est correcte ?
- À partir de la courbe de demande, nous pouvons voir que pour un prix de 5 440 $, l’entreprise peut seulement vendre 32 voitures.
- Le profit de l’entreprise est réduit par le coût de production des 18 voitures supplémentaires, qui ne vont pas être vendues.
- Le profit de l’entreprise est réduit par le coût de production des 18 voitures supplémentaires, qui ne vont pas être vendues.
- Le profit de l’entreprise est réduit par le coût de production des 18 voitures supplémentaires, qui ne vont pas être vendues.
Question 7.10 Choisissez la ou les bonnes réponses
La Figure 7.11 représente la courbe de demande pour Beautiful Cars, ainsi que les courbes de coût marginal et d’isoprofit. La combinaison quantité-prix au point E est (Q*; P*) = (32; 5 440) et le profit est de 63 360 $.
Supposez que l’entreprise choisisse de produire Q = 32 voitures et de les vendre au prix P = 5 400 $. Parmi les propositions suivantes, laquelle est correcte ?
- Étant donné que Q est toujours 32, les coûts de production restent les mêmes, mais les recettes diminuent, donc le profit diminue.
- Étant donné que Q est toujours 32, les coûts de production restent les mêmes. Les recettes diminuent de 40 $ sur chaque voiture, donc de 1 280 $ au total. Le profit est donc 63 360 $ – 1 280 $ = 62 080 $.
- Au point E, où Q* = 32 et P* = 5 440 $, le profit est de 63 360 $. Le profit par voiture est donc 63 360 $/32 = 1 980 $. Étant donné que 5 440 $ – CM = 1 980 $, CM doit être de 3 460 $. CM est le même, quel que soit le prix demandé.
- Lorsque le prix est plus faible, la demande sur le marché est supérieure à 32, de sorte que l’entreprise n’aura aucun problème à vendre les 32 voitures au nouveau prix.
Question 7.11 Choisissez la ou les bonnes réponses
La Figure 7.11 représente la courbe de demande pour Beautiful Cars, ainsi que les courbes de coût marginal et d’isoprofit.
Supposez que l’entreprise décide de passer de P* = 5 440 $ et Q* = 32 à un prix plus élevé et choisisse la quantité à produire qui maximise le profit étant donné le nouveau prix. Parmi les propositions suivantes, laquelle est correcte ?
- À un prix supérieur à P*, le nombre maximum de voitures qui peuvent être vendues est inférieur à 32 et l’entreprise ne va pas produire plus de voitures qu’elle ne peut vendre.
- L’entreprise va produire moins de 32 voitures. La courbe de coût marginal est ascendante, de sorte que, pour un niveau de production plus faible, le coût marginal est plus faible.
- L’entreprise va produire moins de 32 voitures, donc ses coûts totaux seront plus faibles.
- N’importe quel point réalisable autre que E se situe sur une courbe d’isoprofit plus basse.
7.6 Maximisation du profit : recette marginale et coût marginal
Dans la section précédente, nous avons montré que le choix de Beautiful Cars maximisant ses profits correspondait au point où la courbe de demande est tangente à la courbe d’isoprofit la plus élevée. Afin de réaliser un maximum de profits, l’entreprise devrait produire Q = 32 voitures et les vendre au prix P= 5 440 $.
- recette marginale
- La hausse de recette obtenue en augmentant la quantité de Q à Q + 1.
Nous allons maintenant nous intéresser à une méthode différente permettant de trouver le point maximisant les profits, sans utiliser de courbes d’isoprofit. À la place, nous utilisons la courbe de recette marginale. Rappelez-vous que si Q voitures sont vendues au prix P, les recettes R sont données par R = P × Q. La recette marginale, Rm, correspond à l’augmentation des recettes induite par l’augmentation de la quantité produite, de Q à Q + 1.
La Figure 7.12a montre comment calculer la recette marginale quand Q= 20 – c’est-à-dire l’augmentation des recettes lorsque la quantité augmente d’une unité.
La Figure 7.12a montre que les recettes de l’entreprise correspondent à l’aire du rectangle dessiné sous la courbe de demande. Quand Q passe de 20 à 21, les recettes varient pour deux raisons. Une voiture supplémentaire est vendue au nouveau prix, mais, étant donné que le nouveau prix de vente est plus faible lorsque Q = 21, il y a aussi une perte de 80 $ sur chacune des 20 autres voitures vendues. Les recettes marginales correspondent à l’effet net de ces deux changements.
Sur la Figure 7.12b, nous trouvons la courbe de recette marginale, et l’utilisons pour trouver le point correspondant à un profit maximum. Le graphique supérieur montre la courbe de demande et le graphique du milieu montre la courbe de coût marginal. L’analyse de la Figure 7.12b montre comment calculer et tracer la courbe de recette marginale. Lorsque P est élevé et Q est faible, Rm est élevé : le gain issu de la vente d’une voiture supplémentaire est bien plus élevé que la perte totale sur le petit nombre d’autres voitures. Au fur et à mesure que nous descendons le long de la courbe de demande, P diminue (de telle sorte que le gain sur la dernière voiture est plus faible) et Q augmente (de telle sorte que la perte totale sur les autres voitures est plus importante). Rm diminue donc et finit par devenir négative.
La courbe de recette marginale est en général (mais pas nécessairement) une droite descendante. Les deux graphiques inférieurs sur la Figure 7.12b montrent que le point maximisant les profits se trouve là où la courbe Rm croise la courbe Cm. Pour comprendre pourquoi, souvenez-vous que le profit est la différence entre les recettes et les coûts, de sorte que, pour n’importe quelle valeur de Q, la variation des profits lorsque Q augmente d’une unité (le profit marginal) est égale à la différence entre la variation des recettes et la variation des coûts :
\[\begin{align*} \text{profit} &= \text{recettes totales} - \text{coûts totaux} \\ \text{profit marginal} &= \text{Rm} - \text{Cm} \end{align*}\]Ainsi :
- Si Rm > Cm, l’entreprise pourrait augmenter son profit en augmentant Q.
- Si Rm < Cm, le profit marginal est négatif. Il serait préférable de diminuer Q.
Leibniz : Recette marginale et coût marginal.
Vous pouvez voir la manière dont le profit varie en fonction de Q sur le graphique inférieur de la Figure 7.12b. De la même manière que le coût marginal correspond à la pente de la fonction de coût, le profit marginal correspond à la pente de la fonction de profits. Dans ce cas :
- Quand Q < 32, Rm > Cm : le profit marginal est positif, donc le profit augmente avec Q.
- Quand Q > 32, Rm < Cm : le profit marginal est négatif, donc le profit diminue avec Q.
- Quand Q = 32, Rm = Cm : le niveau de profit atteint son maximum.
Question 7.12 Choisissez la ou les bonnes réponses
Ce graphique présente les courbes de coût marginal et de recette marginale de Beautiful Cars. En vous basant sur les informations présentées, parmi les propositions suivantes, laquelle est correcte ?
- Lorsque Q = 40, le coût marginal est plus élevé que la recette marginale, donc le profit marginal est négatif. En revanche, cela ne signifie pas que le profit est négatif.
- La recette marginale est plus élevée au point Q = 10 qu’au point Q = 20. Cependant, comme la recette marginale est positive lorsque la production augmente de 10 à 20 unités, les recettes sont croissantes : elles sont plus élevées lorsque Q = 20.
- Le profit marginal est de zéro au point E. Il s’agit cependant du point où le profit est maximisé, donc l’entreprise choisira ce point.
- Pour tous les niveaux de production jusqu’au point E, la recette marginale est plus élevée que le coût marginal. Le profit augmente donc lorsque la production augmente – il est plus élevé pour Q = 20 que pour Q = 10.
7.7 Gains générés par l’échange
- rente économique
- Le surcroît de paiement ou d’un autre bénéfice reçu par l’individu par rapport à ce qu’il aurait reçu avec son alternative de second rang (ou option de réserve). Voir également : option de réserve.
- gains à l’échange
- Les bénéfices que chaque partie tire d’une transaction comparativement à leur situation en l’absence d’échange. Connu également sous le terme : gains du commerce. Voir également : rente économique.
- Pareto-efficace
- Une allocation ayant la propriété qu’il n’y a aucune allocation alternative techniquement possible qui serait plus avantageuse pour au moins une personne sans que quelqu’un d’autre n’en pâtisse.
Souvenez-vous de ce que nous avons vu dans l’Unité 5, quand des personnes s’engagent volontairement dans une interaction économique, elle le font car cela améliore leur situation : elles peuvent obtenir un surplus appelé rente économique. Le surplus total pour les parties impliquées est une mesure des gains à l’échange ou gains générés par le commerce. Nous pouvons analyser le résultat des interactions économiques entre des consommateurs et une entreprise de la même manière que nous l’avons fait pour Angela et Bruno à l’Unité 5. Nous avons évalué le surplus total et sa répartition en termes d’efficacité au sens de Pareto et d’équité.
Nous avons supposé que les règles du jeu pour l’allocation des Cheerios et des voitures aux clients sont les suivantes :
-
Une entreprise décide du nombre d’articles à produire et fixe un prix.
-
Ensuite, les consommateurs individuels décident d’acheter ou non.
Ces règles reflètent des institutions de marché classiques pour l’allocation de biens de consommation, mais nous pourrions imaginer des systèmes alternatifs — par exemple, un groupe de personnes voulant une voiture pourrait se réunir pour concevoir un modèle, puis inviter des producteurs à répondre à un appel d’offres.
Dans les interactions entre une entreprise comme Beautiful Cars et ses clients, il existe des gains potentiels pour tous tant que l’entreprise est capable de fabriquer une voiture dont le coût de production est inférieur à la valeur que le client lui attribue. Souvenez-vous que la courbe de demande indique la disposition à payer (DAP) de chaque client potentiel. Un client dont la DAP est plus élevée que le prix de vente achètera le bien et recevra un surplus, car la valeur qu’il attribue à la voiture est supérieure au prix qu’il doit payer pour l’acquérir.
De même, la courbe de coût marginal indique le coût de production de chaque voiture supplémentaire (si vous commencez à Q = 0, la courbe de coût marginal montre combien coûte la production de la première voiture, puis de la seconde, et ainsi de suite). Si le coût marginal est inférieur au prix, l’entreprise reçoit elle aussi un surplus. La Figure 7.13 indique comment trouver le surplus total de l’entreprise et de ses clients, lorsque Beautiful Cars fixe le prix afin de maximiser ses profits.
- surplus total
- Les gains totaux de l’échange reçus par toutes les parties impliquées dans l’échange. Il est mesuré comme la somme des surplus du consommateur et du producteur.
- surplus du consommateur
- La somme, sur toutes les unités vendues, de la volonté de payer du consommateur moins le prix auquel il a acheté le bien.
- surplus du producteur
- La somme sur toutes les unités vendues du prix auquel l’entreprise vend le bien moins le prix minimum auquel elle aurait été prête à vendre ce même bien.
Surplus du consommateur, surplus du producteur, profit
- Le surplus du consommateur est une mesure des bénéfices pour les consommateurs de participer au marché.
- Le surplus du producteur est étroitement lié aux profits de l’entreprise, mais n’est pas exactement la même chose. Le surplus du producteur est la différence entre les recettes de l’entreprise et le coût marginal de chaque unité, mais il ne prend pas en compte les coûts fixes, encourus même lorsque Q = 0.
- Le profit est égal au surplus du producteur moins les coûts fixes.
- Le surplus total résultant de l’échange sur le marché, pour l’entreprise et les consommateurs, est la somme des surplus du consommateur et du producteur.
Sur la Figure 7.13, la zone colorée au-dessus de P* représente le surplus du consommateur et la zone colorée en dessous de P* est le surplus du producteur. En observant leur taille relative sur la Figure 7.13, nous voyons que, sur ce marché, c’est l’entreprise qui obtient une part plus importante du surplus.
Comme dans le cas des contrats volontaires entre Angela et Bruno, les deux parties gagnent à participer au marché des voitures Beautiful Cars et la répartition des gains est déterminée par leur pouvoir de négociation respectif. Dans ce cas, l’entreprise a plus de pouvoir que ses clients, car elle est la seule à vendre des voitures Beautiful Cars. Elle peut fixer un prix élevé et obtenir une part importante des gains, car elle sait que les clients qui accordent une valeur importante à ses voitures n’ont pas d’autre choix que d’accepter sa proposition de vente. Un client individuel n’a aucun pouvoir pour négocier les prix, car l’entreprise a de nombreux autres clients potentiels.
Efficacité au sens de Pareto
- Pareto-efficace
- Une allocation ayant la propriété qu’il n’y a aucune allocation alternative techniquement possible qui serait plus avantageuse pour au moins une personne sans que quelqu’un d’autre n’en pâtisse.
- amélioration au sens de Pareto
- Un changement qui bénéficie à au moins une personne sans dégrader la situation d’une autre personne. Voir également : Pareto-dominant.
L’allocation des voitures sur ce marché est-elle Pareto-efficace ? La réponse est non, car il existe des clients qui n’achètent pas de voitures au prix fixé par l’entreprise, mais seraient prêts à payer un prix plus élevé que ce qu’il ne coûte à l’entreprise pour produire. Sur la Figure 7.13, nous avons vu que Beautiful Cars réalise un surplus sur la voiture marginale (la 32e). Le prix est supérieur au coût marginal. L’entreprise pourrait produire une autre voiture et la vendre au 33e client à un prix inférieur à 5 440 $, mais toujours supérieur au coût de production. Cela constituerait une amélioration au sens de Pareto : l’entreprise et le 33e client verraient tous deux leur situation améliorée. En d’autres termes, les gains potentiels à l’échange sur le marché pour ce type de voitures n’ont pas été épuisés au point E.
Supposez que l’entreprise choisisse le point F, où la courbe de coût marginal croise la courbe de demande. Ce point représente une allocation Pareto-efficace, car il n’existe pas d’autres améliorations potentielles au sens de Pareto – produire une voiture supplémentaire coûterait plus que ce que les clients restants seraient prêts à payer. La Figure 7.14 explique pourquoi le surplus total, que nous pouvons interpréter comme étant la taille du gâteau à partager entre l’entreprise et ses clients, serait plus important au point F.
Le surplus total serait plus élevé au point Pareto-efficace (F) qu’au point E. Le surplus du consommateur serait aussi plus élevé, car ceux prêts à payer un prix plus élevé bénéficieraient d’un prix plus faible et des consommateurs supplémentaires obtiendraient également un surplus. Cependant, Beautiful Cars ne choisira pas F, car le surplus du producteur y est plus faible (et vous pouvez voir qu’il se trouve sur une courbe d’isoprofit plus basse).
- perte sèche
- Une perte de surplus total par rapport à une allocation Pareto-efficace.
Comme l’entreprise choisit E, il y a une perte de surplus potentiel, connue sous le nom de perte sèche. Sur le graphique, il s’agit de l’aire triangulaire entre Q = 32, la courbe de demande et la courbe de coût marginal.
Il peut sembler déconcertant que l’entreprise choisisse le point E, alors que nous avons dit que sa situation et celle de ses clients pourraient être améliorées en choisissant un autre point. Cette affirmation est vraie, mais uniquement si les voitures pouvaient être vendues aux nouveaux clients à un prix inférieur à celui proposé aux 32 premiers acheteurs. L’entreprise choisit le point E, car c’est le mieux qu’elle puisse faire étant donné les règles du jeu (fixer un prix unique pour tous les clients). L’allocation résultant de la détermination du prix par le fabricant d’un produit différencié, comme les Beautiful Cars, n’est pas optimale au sens de Pareto. L’entreprise utilise son pouvoir de négociation pour déterminer un prix plus élevé que le coût marginal d’une voiture. Elle maintient le prix élevé en produisant une quantité plus faible que celle qui aurait prévalu dans une allocation Pareto-efficace.
Mais évaluer si le résultat est efficace au sens de Pareto ne signifie pas que les règles du jeu doivent demeurer inchangées. S’il existe une allocation techniquement faisable avec laquelle au moins une personne est mieux lotie et personne n’est moins bien lotie, alors E n’est pas efficace au sens de Pareto. Imaginons à présent que les règles du jeu soient différentes et que l’entreprise soit capable de faire payer des prix différents à chaque acheteur, qui seraient légèrement inférieurs à leur disposition à payer. Dans ce cas, l’entreprise vendra à chaque acheteur potentiel dont la disposition à payer excède le coût marginal. Tous les échanges mutuellement bénéfiques seront alors réalisés. La quantité de voitures produites serait Pareto-efficace.
Pour fixer les prix individuels de cette manière (appelée discrimination des prix), l’entreprise a besoin de connaître la disposition à payer de chaque acheteur. Dans ce cas hypothétique, la perte sèche disparaîtrait. L’entreprise capturerait l’ensemble du surplus : il y aurait un surplus du producteur, mais pas de surplus du consommateur. Nous pouvons penser que c’est injuste, mais l’allocation de marché serait Pareto-efficace.
Exercice 7.5 Modification des règles du jeu
- Supposez que Beautiful Cars ait suffisamment d’information et un pouvoir de négociation si important qu’elle puisse faire payer séparément chaque consommateur, au prix maximum qu’il est prêt à payer. Dessinez les courbes de demande et de coût marginal (comme sur la Figure 7.14), et indiquez sur votre graphique :
- le nombre de voitures vendues;
- le prix le plus élevé payé par un consommateur ;
- le prix le plus faible payé ;
- le surplus du consommateur et le surplus du producteur.
- Pouvez-vous trouver des exemples de biens vendus de cette manière ?
- Pourquoi n’est-ce pas une pratique courante ?
- Certaines entreprises font payer des prix différents à différents groupes de consommateurs – par exemple, les compagnies aériennes font parfois payer plus aux personnes qui achètent leur billet à la dernière minute. Quelle est leur raison pour agir de cette manière et quel est son effet sur la répartition du surplus entre consommateur et producteur ?
- Supposez qu’une politique de la concurrence ait changé les règles du jeu. Comment cela pourrait-il donner plus de pouvoir de négociation aux consommateurs ?
- Selon ces règles, combien de voitures seraient vendues ?
- Selon ces règles, quels seraient les surplus du producteur et du consommateur ?
Question 7.13 Choisissez la ou les bonnes réponses
Parmi les propositions suivantes, laquelle est correcte ?
- Pour être plus précis, chaque consommateur reçoit un surplus égal à la différence entre sa DAP et le prix. Le surplus du consommateur (total) est la somme des surplus de chaque consommateur.
- Le surplus du producteur est la différence entre les recettes et le coût marginal de l’entreprise. Ce n’est pas la même chose que le profit, qui ne prend pas en compte les coûts fixes de production. Le profit est égal à la différence entre le surplus du producteur et ses coûts fixes.
- La perte sèche est la perte de surplus total potentiel liée au fait que l’entreprise produise en dessous du niveau Pareto-efficace. C’est la somme des pertes de surplus du consommateur et du producteur.
- Au niveau de production Pareto-efficace, tous les gains possibles seraient réalisés. Cependant, le choix maximisant le niveau de profits d’une entreprise produisant un bien différencié n’est pas Pareto-efficace.
7.8 Élasticité de la demande
L’entreprise maximise ses profits en choisissant le point où la pente de la courbe d’isoprofit (TMS) est égale à la pente de la courbe de demande (TMT), qui représente le compromis que l’entreprise est obligée de faire entre le prix et la quantité.
- élasticité-prix de la demande
- La variation en pourcentage dans la demande qui aurait lieu en réponse à une hausse du prix de 1 %. On l’exprime comme un nombre positif. La demande est élastique si l’élasticité est supérieure à 1, et inélastique si l’élasticité est inférieure à 1.
La décision de l’entreprise dépend donc de la pente de la courbe de demande : en d’autres termes, de la manière dont la demande des clients pour un produit changera lorsque le prix varie. L’élasticité-prix de la demande est une mesure de la sensibilité des consommateurs à un changement de prix. Elle est définie comme la variation (en pourcents) de la demande en réponse à une augmentation du prix de 1 %. Par exemple, supposez que lorsque le prix d’un produit augmente de 10 %, nous observions une baisse de 5 % de la quantité vendue. Nous pouvons alors calculer l’élasticité, ε, de la manière suivante :
\[\varepsilon = -\frac{\text{variation de la demande (en %)}}{\text{variation du prix (en %)}}\]ε est la lettre grecque epsilon, souvent utilisée pour représenter l’élasticité. Pour une courbe de demande, la quantité diminue lorsque le prix augmente. Le changement de demande est donc négatif lorsque le changement du prix est positif et vice versa. Le signe moins (-) dans la formule de l’élasticité garantit que la mesure de la sensibilité au prix soit un nombre positif. Dans cet exemple, nous obtenons donc :
\[\begin{align} \varepsilon &= -\frac{-5}{10} \\ &= 0,5 \end{align}\]L’élasticité-prix de la demande est liée à la pente de la courbe de demande. Si la courbe de demande est assez plate, la quantité varie beaucoup en réponse à une variation de prix, donc l’élasticité est élevée. Inversement, une courbe de demande plus pentue correspond à une élasticité plus faible. Cependant, ce n’est pas la même chose, et il est important de noter que l’élasticité change lorsque nous nous déplaçons le long de la courbe de demande, même quand la pente ne varie pas.
La Figure 7.15 présente (de nouveau) la courbe de demande pour les voitures, dont la pente est constante : c’est une ligne droite. À chaque point, si la quantité augmente d’une unité (ΔQ = 1), le prix baisse de 80 $ (ΔP = -80 $) :
\[\begin{align*} \text{pente de la courbe de demande} &= -\frac{\Delta P}{\Delta Q} \\ &= -80 \end{align*}\]Étant donné que ΔP = -80 $ quand ΔQ = 1, quel que soit le point choisi sur la courbe de demande, il est facile de calculer l’élasticité pour n’importe quel point. Au point A, par exemple, Q = 20 et P = 6 400 $. Nous avons donc :
\[\begin{align*} \text{ variation (en %) de }Q &= 100(\frac{\Delta Q}{Q}) = 100(\frac{1}{20}) = 5 \% \\ \text{ variation (en %) de }P &= 100(\frac{\Delta P}{P}) = 100(\frac{-80}{6400}) = -1,25 \% \end{align*}\]Et donc :
\[\begin{align*} \varepsilon &= -\frac{5}{-1,25} \\ &= 4 \end{align*}\]Le tableau de la Figure 7.15 calcule l’élasticité pour plusieurs points sur la courbe de demande. Utilisez les étapes de l’analyse pour voir, qu’au fur et à mesure que nous déplaçons vers le bas la courbe de demande, les mêmes variations de P et de Q entraînent un changement (exprimé en pourcents) de P plus élevé et de Q plus faible, de sorte que l’élasticité diminue.
On dit que la demande est élastique lorsque l’élasticité est supérieure à 1 et inélastique lorsqu’elle est inférieure à 1. Vous pouvez voir sur le tableau de la Figure 7.15 que les recettes marginales sont positives pour tous les points associés à une demande élastique et négatives pour tous les points associés à une demande inélastique. Comment expliquer cela ? Lorsque la demande est fortement élastique, les prix vont très peu baisser si l’entreprise augmente la quantité produite. En produisant une voiture supplémentaire, l’entreprise va donc engranger des recettes sur cette voiture sans perdre beaucoup sur les autres voitures vendues, de sorte que les recettes totales augmenteront. En d’autres termes, Rm > 0. À l’inverse, si la demande est inélastique, l’entreprise ne peut pas augmenter Q sans faire face à une diminution importante de P, donc Rm < 0. Dans la rubrique Einstein à la fin de cette section, nous prouvons que cette relation est valide pour toutes les courbes de demande.
Question 7.14 Choisissez la ou les bonnes réponses
Un magasin vend 20 chapeaux par semaine, à 10 $ l’unité. Lorsqu’il augmente le prix à 12 $, le nombre de chapeaux vendus diminue à 15 par semaine. Parmi les propositions suivantes, lesquelles sont correctes ?
- Lorsque le prix augmente de 10 $ à 12 $, la demande diminue.
- L’augmentation de prix (en pourcents) est 100 × 2/10 = 20 %. Cela entraîne une diminution de la demande en pourcents de 100 × 5/20 = 25 %.
- En utilisant les données pour estimer l’élasticité-prix de la demande, vous obtenez une valeur supérieure à 1, donc la demande est élastique.
- L’augmentation du prix (en pourcents) est 100 × 2/10 = 20 % ; la diminution de la demande (en pourcents) est 100 × 5/20 = 25 %. L’élasticité peut donc être estimée à 25/20 = 1,25.
Comment l’élasticité de la demande affecte-t-elle les décisions d’une entreprise ? Rappelez-vous que la quantité maximisant les profits du constructeur de voitures est Q = 32. Vous pouvez voir sur la Figure 7.15 qu’elle se situe sur la partie élastique de la courbe de demande. L’entreprise ne choisira jamais un point tel que D, où la courbe de demande est inélastique, car la recette marginale y est négative. Il serait toujours avantageux de diminuer la quantité, car cela augmenterait les recettes et diminuerait les coûts. L’entreprise choisira donc toujours un point correspondant à une élasticité supérieure à 1.
- marge de profit
- La différence entre le prix et le coût marginal.
Par ailleurs, la marge bénéficiaire de l’entreprise (la différence entre le prix et le coût marginal de production) est étroitement liée à l’élasticité de la demande. La Figure 7.16 représente une situation dans laquelle la demande est fortement élastique. La courbe de demande est assez plate, donc de faibles variations de prix entraîneront des variations importantes des quantités vendues. Le choix maximisant les profits est le point E. Vous pouvez voir que la marge bénéficiaire est relativement faible. Cela signifie que la quantité de voitures que l’entreprise choisit de produire est légèrement inférieure à la quantité Pareto-efficace, au point F, où la marge bénéficiaire est nulle.
Figure 7.16 Entreprise confrontée à une forte élasticité de la demande.
La Figure 7.17 montre la décision prise par une entreprise ayant les mêmes coûts de production, mais faisant face à une demande moins élastique de ses voitures. Dans ce cas, la marge bénéficiaire est élevée et la quantité produite est faible. Lorsque le prix augmente, de nombreux consommateurs sont toujours prêts à payer. L’entreprise exploite cette situation pour maximiser ses profits, obtenant une plus grande part du surplus. Moins de voitures sont alors vendues, et les gains à l’échange inexploités, qui sont mesurés par la perte sèche, sont élevés.
Figure 7.17 Entreprise confrontée à une élasticité de la demande moins importante.
- taux de marque
- Le prix moins le coût marginal divisé par le prix. Il est inversement proportionnel à l’élasticité de la demande pour le bien.
Leibniz : Élasticité de la demande
Ces exemples montrent que plus l’élasticité de la demande est faible, plus l’entreprise augmente le prix au-dessus du coût marginal pour obtenir une marge bénéficiaire élevée. Quand l’élasticité de la demande est faible, l’entreprise a le pouvoir d’augmenter les prix sans perdre beaucoup de clients, et le taux de marque - marge bénéficiaire exprimée en proportion du prix de vente – est élevé. La rubrique Einstein à la fin de cette section vous montre que le taux de marque est inversement proportionnel à l’élasticité de la demande.
Question 7.15 Choisissez la ou les bonnes réponses
Ce graphique représente deux courbes de demande, D1 et D2.
D’après ce graphique, parmi les propositions suivantes, lesquelles sont correctes ?
- Au point E, le prix et la quantité sont les mêmes sur les deux courbes de demande, mais D1 est plus pentue, donc moins élastique que D2.
- La pente est identique aux points A et C, mais au point A, le prix est plus élevé et la quantité plus faible, donc l’élasticité est plus élevée.
- Le prix et la quantité sont les mêmes sur les deux courbes de demande, mais D1 est plus pentue, donc les élasticités ne sont pas les mêmes.
- La pente est la même aux points E et B. Mais au point E, le prix est plus élevé et la quantité est plus faible, donc l’élasticité est plus élevée.
Einstein Élasticité de la demande et recette marginale
Le graphique montre comment obtenir une formule générale pour calculer l’élasticité à n’importe quel point (Q, P) sur la courbe de demande.
Il montre également la manière dont l’élasticité est liée à la pente de la courbe de demande. Une courbe plus plate a une pente moindre, ce qui indique une plus grande élasticité.
![]()
Figure 7.18 L’élasticité de la demande et la recette marginale.
Au point A, le prix est P et la quantité est Q. Si la quantité augmente de ΔQ, le prix baisse : il varie de ΔP, qui est négatif.
\[\begin{align*} \text{Variation en % de } P = 100 \times \Delta P/P \\ \text{Variation en % de } Q = 100 \times \Delta Q/Q \\ \text{Élasticité au point A} = -\frac{\text{Variation en % de }Q}{\text{Variation en % de} P} \\ = - \frac{\Delta Q/Q}{\Delta P/P} \\ = - \frac{P}{Q} \times \frac{\Delta Q}{\Delta P} \\ \text{pente de la courbe de demande} = \frac{\Delta P}{\Delta Q} \\ \text{Élasticité} = - \frac{P}{Q} \times \frac{1}{pente} \end{align*}\]Supposez que la demande soit élastique au point A. Cela signifie l’élasticité est supérieure à 1 :
\[-\frac{P \Delta Q}{\text{Q}\Delta P} > 1\]En multipliant par -QΔP (qui est positif) :
\[P\Delta Q > -Q\Delta P\]Et en réarrangeant, nous obtenons :
\[P\Delta Q + Q\Delta P > 0\]Envisagez le cas spécial où ΔQ = 1. L’inégalité devient alors :
\[P + Q \Delta P > 0\]Maintenant, rappelez-vous que la recette marginale au point A correspond à la variation de recettes lorsque Q augmente d’une unité. Cette variation peut être décomposée en un gain de recettes sur l’unité supplémentaire, qui est P, et la perte sur les autres unités, qui est QΔP. Cette inégalité nous montre donc que la recette marginale est ici positive.
Nous avons montré que, lorsque la demande est élastique, Rm > 0. De la même manière, lorsque la demande est inélastique, Rm < 0.
Taille du taux de marque choisi par l’entreprise
Nous pouvons dériver une formule qui montre que le taux de marque est élevé quand l’élasticité de la demande est faible.
Nous savons que l’entreprise choisit un point où la pente de la courbe d’isoprofit est égale à la pente de la courbe de demande, et que la pente de la courbe de demande est liée à l’élasticité-prix de la demande :
\[\varepsilon = -\frac{P}{Q}\times\frac{1}{\text{pente}}\]En réarrangeant cette formule :
\[\text{pente de la courbe de demande} = -\frac{P}{Q}\times\frac{1}{\text{élasticité}}\]Nous savons également grâce à la Section 7.4 :
\[\text{pente de la courbe d'isoprofit} = -\frac{(P- \text{Cm})}{Q}\]Lorsque les deux pentes sont égales :
\[\frac{(P - \text{Cm})}{Q} = \frac{P}{Q}\times\frac{1}{\text{élasticité}}\]En réarrangeant l’expression, on obtient :
\[\frac{(P - \text{Cm})}{P} = \frac{1}{\text{élasticité}}\]Le terme de gauche est la marge bénéficiaire rapportée au prix, appelé « taux de marque ». De ce fait :
Le taux de marque de l’entreprise est inversement proportionnel à l’élasticité de la demande.
7.9 Utilisation des élasticités de demande pour les politiques publiques
Mesurer les élasticités de demande n’est pas seulement utile pour les entreprises, mais l’est aussi pour les décideurs publics. Si le gouvernement décide d’imposer une taxe sur un certain produit, cette taxe augmentera le prix payé par les consommateurs. Son effet dépendra alors de l’élasticité de la demande :
- si la demande est très élastique : une taxe entraînera une forte baisse des ventes. Cela peut être intentionnel, comme lorsque les gouvernements taxent le tabac pour décourager les fumeurs, en raison de ses effets néfastes sur la santé ;
- si une taxe entraîne une baisse importante des ventes : elle réduit aussi les recettes fiscales potentielles.
Cela signifie qu’un gouvernement souhaitant augmenter ses recettes fiscales doit taxer des produits dont la demande est inélastique.
Plusieurs pays, dont le Mexique et la France, ont introduit des taxes conçues pour réduire la consommation de nourriture et de boissons mauvaises pour la santé. Une étude internationale de 2014 a en effet révélé une augmentation inquiétante de l’obésité chez les adultes et les enfants depuis 1980. En 2013, 37 % des hommes et 38 % des femmes dans le monde étaient en surpoids ou obèses. En Amérique du Nord, ces taux étaient respectivement de 70 % et 61 %, mais l’épidémie d’obésité n’affecte pas seulement les pays les plus riches : les taux respectifs au Moyen-Orient et en Afrique du Nord étaient de 59 % et de 66 %.
Matthew Harding et Michael Lovenheim ont utilisé des données détaillées sur les achats de nourriture des consommateurs aux États-Unis afin d’estimer l’élasticité de la demande pour différents types d’aliments et examiner les effets de taxes sur la nourriture. Ils ont classé les produits alimentaires en 33 catégories et utilisé un modèle de décision appliqué aux consommateurs pour examiner la manière dont les variations de prix affectent la part de chaque catégorie de produits dans les achats totaux et donc la composition nutritionnelle du régime alimentaire. Ce faisant, ils ont pris en compte le fait qu’une variation de prix de n’importe quel produit a un effet aussi bien sur la demande de ce produit que sur celle des autres. La Figure 7.19 présente les prix et élasticités de quelques catégories.
| Catégorie | Type | Calories par portion | Prix aux 100 g ($) | Dépense hebdomadaire habituelle ($) | Élasticité-prix de la demande |
|---|---|---|---|---|---|
| 1 | Fruits et légumes | 660 | 0,38 | 2,00 | 1,128 |
| 2 | Fruits et légumes | 140 | 0,36 | 3,44 | 0,830 |
| 15 | Céréales, pâtes, pain | 1 540 | 0,38 | 2,96 | 0,854 |
| 17 | Céréales, pâtes, pain | 960 | 0,53 | 2,64 | 0,292 |
| 28 | Collations, friandises | 433 | 1,13 | 4,88 | 0,270 |
| 29 | Collations, friandises | 1 727 | 0,68 | 7,60 | 0,295 |
| 30 | Produits laitiers | 2 052 | 0,09 | 2,32 | 1,1793 |
| 31 | Produits laitiers | 874 | 0,15 | 1,44 | 1,972 |
Figure 7.19 Élasticités-prix de la demande pour différents types de nourriture. Voir Calories par portion pour comparer les groupes riches et pauvres en calories de chaque type de nourriture.
Harding, Matthew, and Michael Lovenheim. 2013. ‘The Effect of Prices on Nutrition: Comparing the Impact of Product- and Nutrient-Specific Taxes’. SIEPR Discussion Paper No. 13-023.
Vous pouvez voir que la demande pour les produits laitiers à faible teneur en calories est la plus sensible à des changements de prix. Si leur prix augmente de 10 %, la quantité achetée baissera en moyenne de 19,72 %. La demande pour les en-cas et les bonbons est plutôt inélastique, ce qui suggère qu’il serait difficile de dissuader les consommateurs d’en acheter en modifiant les prix.
Exercice 7.6 Élasticité et dépenses
La Figure 7.19 présente également les dépenses hebdomadaires dans chaque catégorie pour un consommateur aux États-Unis, dont la dépense totale de nourriture serait de 80 $ répartis sur les différents aliments. Supposez que le prix de la catégorie 30, les produits laitiers très caloriques, augmente de 10 % :
- De quel pourcentage la demande pour les produits laitiers à haute teneur en calories baisserait-elle ?
- Calculez la quantité consommée (en grammes), avant et après la variation de prix.
- Calculez ses dépenses totales en produits laitiers à haute teneur en calories avant et après la variation de prix. Vous devez vous attendre à trouver une baisse des dépenses.
- Maintenant, choisissez une catégorie d’aliments dont l’élasticité est inférieure à 1, et répétez les calculs. Dans ce cas, vous devriez trouver une augmentation des dépenses.
Harding et Lovenheim ont examiné les effets qu’auraient une taxe de 20 % sur le sucre, les matières grasses et le sel. Une taxe de 20 % sur le sucre, par exemple, augmenterait de 10 % le prix d’un produit contenant 50 % de sucre. Selon leur étude, une taxe sur le sucre est celle qui aurait le plus d’effets positifs sur la nutrition : elle réduirait la consommation de sucre de 16 %, de matières grasses de 12 %, de sel de 10 % et l’apport calorique total de 19 %.7
Pour approfondir, ce blog relaye une réaction aux travaux de Matthew Harding et de Michael Lovenheim : The Huffington Post. 2014. ‘There’s An Easy Way To Fight Obesity, But Conservatives Will HATE It’.
Exercice 7.7 Taxes alimentaires et santé
Les taxes alimentaires conçues pour modifier la consommation en faveur d’un régime plus sain sont controversées. Certaines personnes pensent que chacun doit faire ses propres choix et que, si l’on préfère manger des produits néfastes pour sa santé, les pouvoirs publics ne devraient pas intervenir. Sachant que ceux qui tomberont malades seront soignés avec un coût pour la collectivité, d’autres personnes soutiennent que les pouvoirs publics ont un rôle dans la prévention en matière de santé.
Avec vos propres mots, donnez des arguments pour ou contre les taxes alimentaires visant à favoriser une alimentation saine.
7.10 Choix des prix, concurrence et pouvoir de marché
- monopole
- Une entreprise qui est l’unique vendeur d’un produit n’ayant pas de substituts proches. Se dit aussi d’un marché avec un seul vendeur. Voir également : pouvoir de monopole, monopole naturel.
Notre analyse du choix des prix de l’entreprise peut être appliquée à n’importe quelle entreprise fabriquant et vendant un produit différent de ceux proposés par les autres entreprises. Au 19e siècle, l’économiste français Augustin Cournot a mené une analyse similaire, en utilisant l’exemple de l’eau en bouteille venant « d’une source minérale, à laquelle on vient de reconnaître des propriétés salutaires qu’aucune autre ne possède ». Cournot fait ainsi référence à un cas de monopole — dans un marché monopolisé, il n’existe qu’un seul vendeur. Il a montré, comme nous l’avons fait, que, dans ce cas, l’entreprise fixe un prix plus élevé que le coût marginal de production.8
Les grands économistes Augustin Cournot
Augustin Cournot (1801–1877) était un économiste français, célèbre aujourd’hui pour son modèle d’oligopole (un marché ne comptant qu’un petit nombre d’entreprises). Dans son livre Recherches sur les principes mathématiques de la Théorie des Richesses publié en 1838, il introduit une nouvelle approche mathématique de l’économie, bien qu’il ait redouté de s’« attirer […] la réprobation des théoriciens accrédités ». Le travail de Cournot a influencé d’autres économistes du 19e siècle, comme Marshall et Walras et posé les principes de base que nous utilisons encore aujourd’hui pour penser le comportement des entreprises. Bien qu’il ait utilisé l’algèbre plutôt que des graphiques, l’analyse faite par Cournot de la demande et de la maximisation des profits est très similaire à la nôtre.
Nous avons vu dans la Section 7.6 que, lorsque le producteur d’un bien différencié détermine un prix supérieur au coût marginal de production, l’allocation de marché n’est pas Pareto-efficace. Quand l’allocation de marché est Pareto-inefficace, nous décrivons cette situation comme une défaillance du marché.
Défaillance de marché
Une défaillance de marché a lieu lorsque les marchés allouent les ressources d’une manière inefficace au sens de Pareto.
La perte sèche nous donne une mesure des conséquences d’une défaillance de marché : l’ampleur des gains à l’échange qui ne sont pas exploités. Nous avons vu dans la Section 7.7 que la perte sèche résultant d’un prix supérieur au coût marginal est élevée lorsque l’élasticité de la demande est faible.
Mais alors, qu’est-ce qui détermine l’élasticité de la demande pour un produit et pourquoi certaines entreprises font-elles face à une demande plus élastique que d’autres ? Pour répondre à cette question, nous devons nous pencher de nouveau sur le comportement des consommateurs.
Les marchés de produits différenciés reflètent des différences de préférences entre les consommateurs. Les personnes désirant acheter une voiture cherchent différentes combinaisons de caractéristiques. La disposition à payer d’un consommateur pour un certain modèle dépend donc non seulement des caractéristiques de ce modèle, mais aussi des caractéristiques et du prix de voitures similaires d’autres marques.
La Figure 7.20 indique, par exemple, les prix d’achat de berlines trois portes 1,0 litre au Royaume-Uni en janvier 2014, qu’un consommateur pouvait trouver sur un comparateur de prix sur Internet :
| Prix | |
|---|---|
| Ford Fiesta | 11 917 £ |
| Vauxhall Corsa | 11 283 £ |
| Peugeot 208 | 10 384 £ |
| Toyota IQ | 11 254 £ |
Figure 7.20 Prix d’achat de voitures au Royaume-Uni (janvier 2014, Autotrader.com).
Bien que les caractéristiques principales des quatre voitures soient similaires, le site internet compare 75 autres caractéristiques, qui diffèrent souvent en fonction de la marque.
Quand les consommateurs sont en mesure de choisir entre plusieurs voitures assez similaires, il est probable que la demande pour chacune des voitures soit plutôt élastique. Si, par exemple, le prix de la Ford Fiesta venait à augmenter, la demande baisserait, car les consommateurs choisiraient d’acheter l’une des autres marques à la place. De la même manière, si le prix de la Ford Fiesta venait à baisser, la demande augmenterait, car les consommateurs seraient plus attirés par celle-ci. Plus les autres voitures sont similaires à la Ford Fiesta, plus les consommateurs sont sensibles à la différence de prix. Seuls ceux ayant une forte fidélité à la marque Ford ou une préférence prononcée pour les caractéristiques proposées (et que les autres voitures n’ont pas) seront insensibles. L’entreprise Ford choisira donc un prix et une marge bénéficiaire relativement faibles.
- rentes de monopole
- Une forme de profits économiques qui proviennent de la concurrence limitée pour la vente du produit de l’entreprise. Voir également : profits économiques.
À l’inverse, un fabricant de voitures très spécialisées, très différentes de toutes les autres marques sur le marché, fait face à peu de concurrence et donc à une demande moins élastique. Il peut déterminer un prix bien au-dessus du coût marginal sans perdre de clients. Une telle entreprise gagne des rentes de monopole (des profits économiques au-dessus de ses coûts de production) provenant de sa position d’unique fournisseur de ce type de voitures (de manière similaire, une entreprise innovante gagne des rentes tant qu’elle est la seule à utiliser la nouvelle technologie, comme nous l’avons vu dans l’Unité 2).
- substituts
- Deux biens pour lesquels la hausse du prix de l’un cause une augmentation de la quantité demandée de l’autre. Voir également : compléments.
- pouvoir de marché
- Une caractéristique d’une entreprise qui peut vendre sa production à des prix différents, de telle sorte qu’elle agit en fixant les prix (plutôt qu’en les prenant tels quels).
Une entreprise est donc dans une position de force s’il y a peu d’entreprises produisant des substituts proches de sa propre marque, car elle fait face à peu de compétition. L’élasticité de la demande sera donc relativement faible. Nous disons alors qu’une telle entreprise a un pouvoir de marché. Elle aura un pouvoir de négociation suffisant dans sa relation avec ses clients pour fixer un prix élevé sans craindre de les perdre à la concurrence.
Politiques de concurrence
Cette discussion permet d’expliquer pourquoi les décideurs publics sont inquiets quand les entreprises n’ont que peu de concurrents. Leur pouvoir de marché leur permet de fixer des prix élevés et donc d’obtenir des profits élevés, au détriment des consommateurs. Le surplus du consommateur potentiel est perdu, à la fois parce que peu de consommateurs achètent et parce que ceux qui achètent le font à un prix élevé. Les propriétaires de l’entreprise tirent profit de cette situation, mais dans l’ensemble il y a une perte sèche.
Il est peu probable qu’une entreprise vendant un produit de niche à destination d’un petit nombre de clients (comme Beautiful Cars ou une marque de luxe comme Lamborghini) attire l’attention des décideurs publics, malgré la perte du surplus du consommateur. En revanche, quand une entreprise devient dominante sur un marché important, les autorités peuvent intervenir pour promouvoir la concurrence. En 2000, la Commission européenne a ainsi empêché la fusion de Volvo et Scania, au motif que l’entreprise fusionnée aurait eu une position dominante sur le marché des poids lourds en Irlande et dans les pays nordiques. En effet, en Suède, les parts de marché combinées des deux entreprises représentaient 90 % du marché. L’entreprise fusionnée aurait alors eu une position de quasi-monopole – le cas extrême d’une entreprise n’ayant aucun concurrent.
- cartel
- Un groupe d’entreprises qui s’entendent pour augmenter leurs profits communs.
Un faible nombre d’entreprises peut également poser problème, dans la mesure où elles peuvent former un cartel : un groupe d’entreprises s’entendant pour maintenir des prix élevés. En travaillant ensemble et en se comportant à la manière d’un monopole, au lieu de se faire concurrence, elles peuvent augmenter leurs profits. Un exemple bien connu est l’OPEP, l’Organisation des pays exportateurs de pétrole. Les membres de l’OPEP s’entendent pour déterminer le niveau de production et ainsi contrôler les prix du pétrole au niveau mondial. Les agissements du cartel de l’OPEP ont joué un rôle majeur dans le maintien des prix du pétrole à un niveau élevé à la suite de la forte augmentation des prix en 1973, puis, de nouveau, en 1979. Nous reviendrons sur les causes des fluctuations des prix du pétrole dans l’Unité 11 et l’effet des chocs pétroliers sur l’inflation et le chômage dans l’Unité 15.
- politique de concurrence
- Politiques publiques et lois visant à limiter le pouvoir de monopole et empêcher la formation de cartels. Connu également sous le terme : politique anti-trust (lutte contre les ententes).
- politique anti-trust (lutte contre les ententes)
- Politiques publiques et lois visant à limiter le pouvoir de monopole et empêcher la formation de cartels. Connu également sous le terme : politique de concurrence.
Bien que les cartels entre entreprises privées soient illégaux dans de nombreux pays, les entreprises trouvent souvent le moyen de coopérer pour fixer les prix et ainsi maximiser leurs profits. Les politiques publiques qui limitent le pouvoir de marché et préviennent la formation des cartels sont appelées politiques de concurrence ou, aux États-Unis, politiques anti-trust.
Les entreprises dominantes peuvent aussi tirer parti de leur position grâce à des stratégies autres que la seule fixation de prix élevés. Dans un célèbre cas d’anti-trust, le ministère américain de la Justice a accusé Microsoft d’agir à l’encontre de la concurrence en associant systématiquement son navigateur Internet Explorer à son système d’exploitation Windows.9 Dans les années 1920, un groupe international d’entreprises fabriquant des ampoules électriques, notamment Philips, Osram et General Electric, a formé un cartel qui s’est entendu sur une politique « d’obsolescence programmée », réduisant ainsi la durée de vie de leurs ampoules à 1 000 heures afin que les consommateurs aient besoin de les remplacer plus souvent.10 Malgré la promesse de prix toujours plus bas, Walmart a été accusé d’abuser de son pouvoir, en faisant pression à la baisse sur les salaires des zones d’implantation de ses magasins, en poussant les petits détaillants à la faillite ou en réduisant les profits des fournisseurs à des niveaux intenables.11 Un article de John Vickers examine les arguments économiques qui sous-tendent ces allégations.12
Exercice 7.8 Multinationales ou détaillants indépendants ?
Imaginez que vous soyez un(e) élu(e) local(e) d’une ville où une multinationale de vente au détail projette de construire un nouvel hypermarché. Des protestants locaux au projet soulignent que cela conduirait à la fermeture des petits magasins indépendants et, de ce fait, réduirait les options des consommateurs. Les personnes en faveur de ce projet répondent que cela n’interviendra que si les consommateurs préfèrent l’hypermarché.
De quel côté êtes-vous ?
Question 7.16 Choisissez la ou les bonnes réponses
Imaginez que dans une petite ville, une entreprise multinationale de vente au détail projette de construire un nouveau supermarché. Parmi les arguments suivants, lesquels pourraient être corrects ?
- L’existence de substituts proches rend élastique la demande pour ces biens.
- Un degré important de substituabilité entre des biens implique une plus grande concurrence entre les vendeurs, faisant mécaniquement baisser les prix.
- Si les détaillants locaux font faillite, la multinationale aura plus de pouvoir de marché. Elle fera face à une demande moins élastique et sera capable d’augmenter les prix sans perdre de clients.
- Une forte différenciation (un faible degré de substitution) implique une demande moins élastique.
7.11 Choix des produits, innovation et publicité
Les profits qu’une entreprise peut réaliser dépendent de la courbe de demande pour son produit, qui dépend elle-même des préférences des consommateurs et de la concurrence sur le marché. Afin d’augmenter ses profits, une entreprise peut aussi influencer la courbe de demande en changeant les caractéristiques de son produit ou en utilisant la publicité.13
Le jeu de société d’achat et de vente de biens immobiliers a d’abord été commercialisé par Parker Brothers sous le nom Monopoly en 1935. Dans une série de contentieux dans les années 1970, Parker Brothers a essayé d’empêcher Ralph Anspach, un professeur d’économie, de vendre un jeu appelé Anti-Monopoly. Anspach soutenait que Parker Brothers n’avait pas de droits exclusifs sur la vente du Monopoly, car la société n’avait pas inventé le jeu.
À la suite d’une décision de justice en faveur d’Anspach, plusieurs versions concurrentes du Monopoly sont apparues sur le marché.
Profitant d’un changement ultérieur de la législation, Parker Brothers a déposé en 1984 la marque Monopoly, recréant ainsi un monopole.
Lorsqu’elle décide des caractéristiques du produit à fabriquer, l’entreprise cherche à attirer les clients tout en se démarquant des concurrents. Si elle y arrive, la demande est élevée – de nombreux consommateurs souhaitent acheter le produit, quel que soit le prix – et son élasticité est faible. Bien sûr, ce n’est pas tâche aisée : une entreprise souhaitant proposer de nouvelles céréales de petit déjeuner ou une nouvelle voiture sait que de nombreuses marques sont déjà sur le marché. Les innovations technologiques peuvent toutefois permettre de dépasser les concurrents. Une fois développée par Toyota la première voiture hybride produite à grande échelle, la Prius, en 1997, plusieurs années se sont passées sans trop de modèles comparables sur le marché. Toyota a ainsi efficacement monopolisé le marché des hybrides. Ce n’est qu’à partir de 2003 que plusieurs marques lui ont fait une concurrence sérieuse, mais la Prius est restée leader sur le marché avec plus de 50 % des ventes.
Lorsqu’une entreprise invente ou crée un nouveau produit, elle peut éviter la concurrence en revendiquant des droits exclusifs sur la production, grâce au dépôt d’un brevet ou l’utilisation des lois relatives à la propriété intellectuelle. Ironie du sort, dans les années 1970, la société Parker Brothers a passé des années à se battre devant les tribunaux pour protéger son monopole sur un jeu de société, le Monopoly. Ce type de protection juridique d’un monopole peut inciter la recherche et le développement de nouveaux produits, mais limite par ailleurs les gains à l’échange. Dans l’Unité 21, nous analyserons plus en détails les droits relatifs à la propriété intellectuelle.
La publicité est une autre stratégie employée par les entreprises pour influencer la demande. Elle est largement utilisée à la fois par les fabricants de voitures et les producteurs de céréales de petit déjeuner. Quand les produits sont différenciés, la publicité peut être utilisée pour informer les consommateurs de l’existence d’un produit et de ses caractéristiques, les détourner des entreprises concurrentes et créer une fidélité à la marque.
Selon Schonfeld and Associates, un cabinet d’analystes de marché, la publicité pour les céréales de petit déjeuner représente environ 5,5 % du chiffre d’affaires du secteur aux États-Unis – soit environ 3,5 fois plus que la moyenne pour les produits manufacturés. La Figure 7.21 présente des données relatives aux 35 marques de céréales les plus vendues dans la région de Chicago, en 1991 et 1992. Elle montre la relation entre part de marché et dépenses trimestrielles en publicité. Une analyse attentive suggère que les parts de marché ne sont pas étroitement liées aux prix. En revanche, il ressort nettement de la Figure 7.21 que les marques ayant les plus importantes parts de marché sont celles ayant les dépenses publicitaires les plus importantes. À partir de ces données, l’économiste Matthew Shum a analysé les achats de céréales et montré que pour stimuler la demande d’une marque, la publicité était plus efficace que les réductions de prix. Comme les marques les plus connues sont aussi celles qui ont les budgets publicitaires les plus conséquents, il a conclu que la fonction principale de la publicité n’est pas d’informer les consommateurs sur le produit, mais plutôt d’augmenter la fidélité à la marque et d’encourager les consommateurs des autres marques à en changer.14
Figure 7.21 Dépenses en publicité et parts de marché des céréales de petit déjeuner à Chicago (1991–1992).
Figure 1 de Shum, Matthew. 2004. ‘Does Advertising Overcome Brand Loyalty? Evidence from the Breakfast-Cereals Market.’ Journal of Economics & Management Strategy 13 (2): pp. 241–72.
7.12 Prix, coûts et défaillances de marché
Une défaillance du marché a lieu lorsque l’allocation d’un bien via le marché est inefficace au sens de Pareto. Dans cette unité, nous avons vu qu’une cause de défaillance du marché (nous allons en voir d’autres dans les unités suivantes) est la fixation par les entreprises de prix supérieurs au coût marginal de production.
Les entreprises fixent des prix supérieurs aux coûts marginaux lorsque les biens qu’elles produisent, comme des voitures ou des céréales de petit déjeuner, sont différenciés de ceux produits par leurs concurrents. Dans ce cas, elles servent des consommateurs ayant des préférences différentes de ceux qui décident d’acheter le produit d’une autre marque et font face à une concurrence limitée (ou une absence de concurrence, dans le cas d’un monopole). Il peut être dans l’intérêt de ces entreprises de mettre en place des stratégies visant à limiter la concurrence mais, en l’absence de cette dernière, la perte sèche peut être très élevée. Les décideurs publics essaient donc de réduire cette perte via les politiques de concurrence.
La différenciation des produits n’est pas la seule raison expliquant qu’un prix soit supérieur au coût marginal. Un autre facteur majeur est la décroissance des coûts moyens, due à des économies d’échelle de production, à la présence de coûts fixes ou à des prix de facteurs de production diminuant lorsque l’entreprise achète en grandes quantités. Dans de tels cas, le coût moyen de production est plus élevé que le coût marginal associé à chaque unité et la courbe de coût moyen est descendante. Le prix de l’entreprise doit être au moins égal au coût moyen – autrement, elle réalise des pertes. Cela signifie que le prix doit être supérieur au coût marginal.
- monopole naturel
- Un procédé de production dans lequel la courbe de coût moyen à long terme a une pente suffisamment négative pour rendre impossible une concurrence durable entre les entreprises sur ce marché.
Évidemment, des coûts moyens décroissants permettent à l’entreprise de produire à un moindre coût unitaire lorsqu’elle opère à grande échelle. Dans le cadre de services publics comme la fourniture d’eau, d’électricité et de gaz, il y a des coûts fixes importants associés à la construction du réseau de distribution (indépendamment de la quantité demandée par les consommateurs). Les entreprises dans ce domaine ont typiquement des rendements d’échelle croissants. Le coût moyen de production d’une unité d’eau, d’électricité ou de gaz sera très élevé, à moins que l’entreprise n’opère à une très grande échelle. Si une seule entreprise peut fournir le marché entier à un coût plus faible que deux entreprises, elle est dans une situation dite de monopole naturel.
Dans le cas d’un monopole naturel, les décideurs publics peuvent ne pas pouvoir obliger les entreprises à réduire leurs prix via une augmentation de la concurrence, car les coûts moyens seraient plus élevés s’il y avait plus d’entreprises sur le marché. Dans ce cas, ils peuvent préférer réguler directement les activités de l’entreprise, en limitant son pouvoir de fixation des prix, afin d’augmenter le surplus du consommateur. Une alternative à la régulation directe est la propriété publique. La majorité des entreprises fournissant l’eau dans le monde appartiennent au secteur public. Mais ce n’est pas le cas partout : aujourd’hui régulée par des agences publiques, l’industrie de l’eau a été entièrement privatisée en Angleterre et au pays de Galles en 1989 et au Chili dans les années 1990.
Prenons un exemple d’un type un peu différent, celui d’une entreprise produisant des films. L’entreprise dépense énormément d’argent pour embaucher des acteurs, des cameramen, un réalisateur, acheter les droits sur le script et faire de la publicité. Il s’agit de coûts fixes (parfois appelés « coûts de premier exemplaire »). Typiquement, le coût associé à la mise à disposition de copies supplémentaires du film (le coût marginal) est faible : reproduire le premier exemplaire ne coûte pas cher. Les coûts marginaux sont donc inférieurs aux coûts moyens. Si l’entreprise choisissait de fixer un prix égal au coût marginal, elle ferait faillite.
Le fait que le prix d’un produit différencié soit supérieur au coût marginal est le résultat direct de la réponse de l’entreprise à l’absence de concurrence et à l’insensibilité aux prix des consommateurs. La source du problème dans le cas des films, de l’eau et du gaz est la structure de coûts, plutôt que le manque de concurrence. L’électricité n’est pas un produit différencié, donc les acheteurs pourraient être très sensibles au prix, et l’industrie du film est très compétitive. Mais le prix doit être supérieur au coût marginal pour que les entreprises puissent survivre.
Cependant, les deux problèmes (concurrence limitée et coûts moyens décroissants) sont souvent étroitement liés, car la concurrence entre des entreprises ayant des courbes de coût descendantes tend à être du type « le gagnant rafle la mise ». La première entreprise à exploiter les avantages en termes de coûts liés à une taille importante élimine les autres entreprises et donc la concurrence.
Quelle que soit la raison sous-jacente, un prix supérieur au coût marginal constitue une défaillance du marché. Une quantité trop faible est échangée ; il existe des acheteurs potentiels dont la disposition à payer est supérieure au coût marginal mais inférieure au prix de marché – ils ne vont donc pas acheter le bien, ce qui entraîne une perte sèche.
7.13 Conclusion
Nous avons étudié la manière dont les entreprises qui fabriquent des produits différenciés fixent un prix et choisissent la quantité à produire afin de maximiser leurs profits. Ces décisions dépendent de la courbe de demande pour le produit – en particulier de l’élasticité de la demande – et de la structure des coûts de fabrication. Les entreprises vont choisir un prix supérieur au coût marginal de production – et ce d’autant plus que la concurrence est limitée et que l’élasticité de la demande est faible.
Ce sont les rendements croissants de production et autres avantages en matière de coûts qui favorisent les entreprises opérant à grande échelle, pour lesquelles le coût unitaire est faible. L’innovation peut aussi réduire les coûts et augmenter les profits.
Lorsque le prix du marché est supérieur au coût marginal de production, il y a une défaillance du marché : l’allocation du bien est Pareto-inefficace. Les entreprises réalisent des profits économiques, mais le surplus des consommateurs est plus faible qu’il ne l’aurait été si le prix avait été égal au coût marginal. Il y a une perte sèche. Les décideurs publics doivent être préoccupés quand des entreprises acquièrent une position dominante sur un marché. Ils peuvent utiliser les politiques de concurrence et la régulation pour limiter l’exercice du pouvoir de marché.
Concepts introduits dans l’Unité 7
Avant de continuer, revoyez ces définitions :
7.14 Références bibliographiques
- Basker, Emek. 2007. ‘The Causes and Consequences of Wal-Mart’s Growth’. Journal of Economic Perspectives 21 (3): pp. 177–198.
- Cournot, Augustin, and Irving Fischer. 1971. Researches into the Mathematical Principles of the Theory of Wealth. New York, NY: A. M. Kelley.
- Gilbert, Richard J., and Michael L. Katz. 2001. ‘An Economist’s Guide to US v. Microsoft’. Journal of Economic Perspectives 15 (2): pp. 25–44.
- Harding, Matthew, and Michael Lovenheim. 2013. ‘The Effect of Prices on Nutrition: Comparing the Impact of Product- and Nutrient-Specific Taxes’. SIEPR Discussion Paper No. 13-023.
- Kay, John. ‘The Structure of Strategy’ (reprinted from Business Strategy Review 1993).
- Koshal, Rajindar K., and Manjulika Koshal. 1999. ‘Economies of Scale and Scope in Higher Education: A Case of Comprehensive Universities’. Economics of Education Review 18 (2): pp. 269–277.
- Krajewski, Markus. 2014. ‘The Great Lightbulb Conspiracy’. IEEE Spectrum. Updated 24 September 2014.
- Schumacher, Ernst F. 1973. Small Is Beautiful: Economics as If People Mattered. New York, NY: HarperCollins.
- Shum, Matthew. 2004. ‘Does Advertising Overcome Brand Loyalty? Evidence from the Breakfast-Cereals Market’. Journal of Economics & Management Strategy 13 (2): pp. 241–272.
- Statista. 2011. ‘Willingness to pay for a flight in space’. Updated 20 October 2011.
- Stigler, George J. 1987. The Theory of Price. New York, NY: Collier Macmillan.
- The Economist. 2008. ‘Economies of Scale and Scope’. Updated 20 October 2008.
- Vickers, John. 1996. ‘Market Power and Inefficiency: A Contracts Perspective’. Oxford Review of Economic Policy 12 (4): pp. 11–26.
-
Ernst F. Schumacher. 1973. Small Is Beautiful: Economics as If People Mattered. New York, NY: HarperCollins. Note : accès aux 80 premières pages seulement. ↩
-
‘Willingness to Pay for a Flight in Space’. Statista. Mis à jour le 20 octobre 2011. ↩
-
Rajindar K. Koshal and Manjulika Koshal. 1999. ‘Economies of Scale and Scope in Higher Education: A Case of Comprehensive Universities’. Economics of Education Review 18 (2): pp. 269–77. ↩
-
Economies of Scale and Scope. The Economist. Mis à jour le 20 octobre 2008. ↩
-
George J. Stigler. 1987. The Theory of Price. New York, NY: Collier Macmillan. ↩
-
Heberton G. Evans. 1967. ‘The Law of Demand—The Roles of Gregory King and Charles Davenant’. The Quarterly Journal of Economics 81 (3). ↩
-
Matthew Harding et Michael Lovenheim. 2013. ‘The Effect of Prices on Nutrition: Comparing the Impact of Product- and Nutrient-Specific Taxes’. SIEPR Discussion Paper No. 13-023. ↩
-
Augustin Cournot and Irving Fischer. 1971. Researches into the Mathematical Principles of the Theory of Wealth. New York, NY: A. M. Kelley. ↩
-
Richard J. Gilbert et Michael L. Katz. 2001. ‘An Economist’s Guide to US v. Microsoft’. Journal of Economic Perspectives 15 (2): pp. 25–44. ↩
-
Markus Krajewski. 2014. ‘The Great Lightbulb Conspiracy’. IEEE Spectrum. Updated 25 September. ↩
-
Emek Basker. 2007. ‘The Causes and Consequences of Wal-Mart’s Growth’. Journal of Economic Perspectives 21 (3): pp. 177–198. ↩
-
John Vickers. 1996. ‘Market Power and Inefficiency: A Contracts Perspective’. Oxford Review of Economic Policy 12 (4): pp. 11–26. ↩
-
John Kay. ‘The Structure of Strategy’ (reprinted from Business Strategy Review 1993). ↩
-
Matthew Shum. 2004. ‘Does Advertising Overcome Brand Loyalty? Evidence from the Breakfast-Cereals Market’. Journal of Economics & Management Strategy 13 (2): pp. 241–72. ↩
Augustin Cournot (1801–1877) était un économiste français, célèbre aujourd’hui pour son modèle d’oligopole (un marché ne comptant qu’un petit nombre d’entreprises). Dans son livre Recherches sur les principes mathématiques de la Théorie des Richesses publié en 1838, il introduit une nouvelle approche mathématique de l’économie, bien qu’il ait redouté de s’« attirer […] la réprobation des théoriciens accrédités ». Le travail de Cournot a influencé d’autres économistes du 19e siècle, comme Marshall et Walras et posé les principes de base que nous utilisons encore aujourd’hui pour penser le comportement des entreprises. Bien qu’il ait utilisé l’algèbre plutôt que des graphiques, l’analyse faite par Cournot de la demande et de la maximisation des profits est très similaire à la nôtre.
